电脑桌面
添加小米粒文库到电脑桌面
安装后可以在桌面快捷访问

信号与系统练习题——第1-3章VIP免费

信号与系统练习题——第1-3章_第1页
1/18
信号与系统练习题——第1-3章_第2页
2/18
信号与系统练习题——第1-3章_第3页
3/18
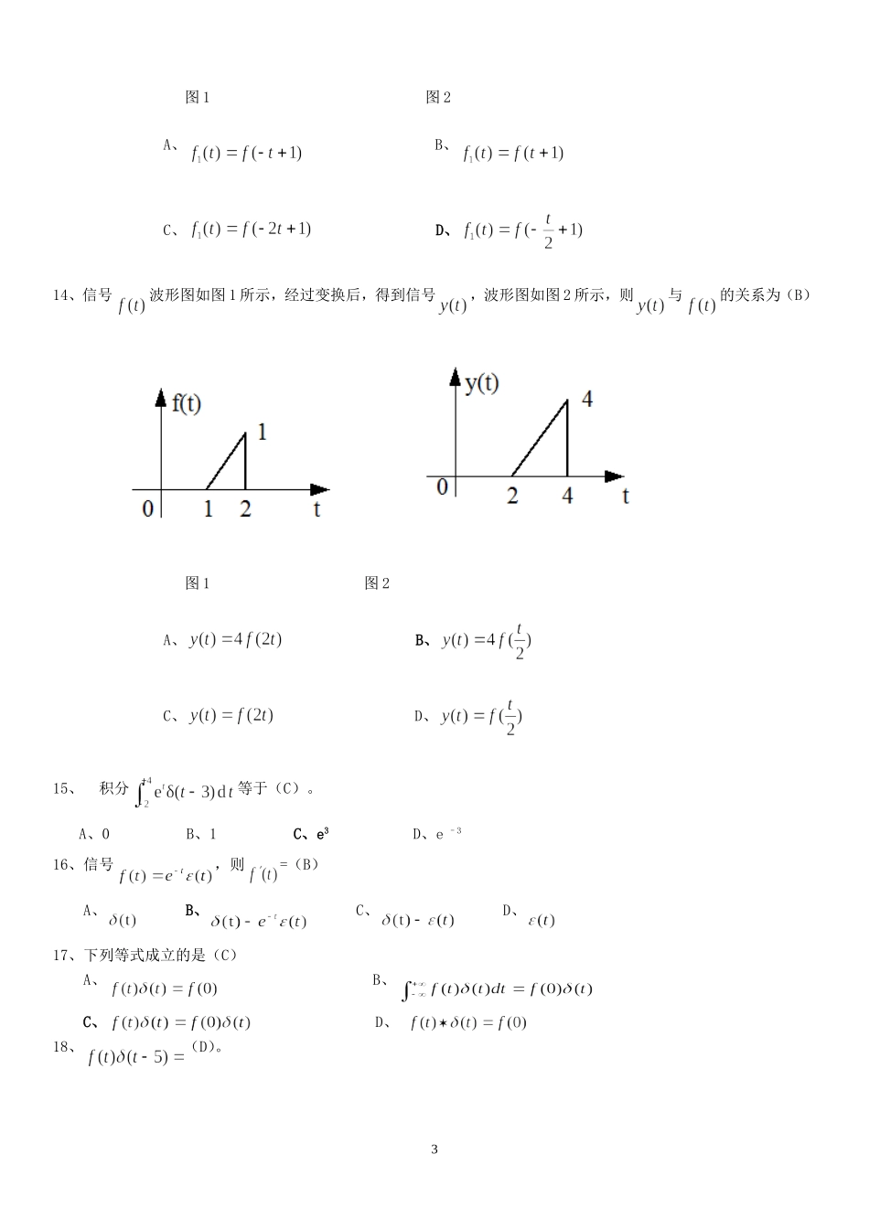
1信号与系统练习题(第1-3章)一、选择题1、下列信号的分类方法不正确的是(A)A、数字信号和离散信号B、确定信号和随机信号C、周期信号和非周期信号D、连续信号和离散信号2、下列离散序列中,哪个不是周期序列?(D)A、B、C、D、3、下列哪一个信号是周期性的?(C)。A、;B、;C、;D、。4、周期信号的周期为(D)A、B、C、D、5、周期信号的周期为(C)。A、B、C、无周期D、6、以下序列中,周期为5的是(D)A.B.C.D.7、下列说法正确的是(D)A、两个周期信号,的和信号一定是周期信号B、两个周期信号,的周期分别为2和,则信号是周期信号C、两个周期信号,的周期分别为2和,则信号是周期信号D、两个周期信号,的周期分别为2和3,则信号是周期信号8、下列说法不正确的是(A)A、两个连续周期信号的和一定是连续周期信号B、两个离散周期信号的和一定是离散周期信号2C、连续信号一定是周期信号D、两个连续周期信号,的周期分别为2和3,则信号是周期信号9、是如下运算的结果(C)A、右移5B、左移5C、右移D、左移10、将信号变换为(A)称为对信号的平移。A、B、C、D、11、将信号变换为(C)称为对信号的尺度变换。A、B、C、D、12、将信号变换为(D)称为对信号的反转。A、B、C、D、13、信号波形图如图1所示,经过变换后,得到信号,波形图如图2所示,则与的关系为(D)3图1图2A、B、C、D、14、信号波形图如图1所示,经过变换后,得到信号,波形图如图2所示,则与的关系为(B)图1图2A、B、C、D、15、积分等于(C)。A、0B、1C、e3D、e–316、信号,则=(B)A、B、C、D、17、下列等式成立的是(C)A、B、C、D、18、(D)。4A、;B、;C、;D、19、下列等式成立的是(C)A、B、C、D、20、已知信号如下图所示,其表达式可以表示为(B)A、B、C、D、21、已知信号如下图所示,其表达式可以表示为(B)A、B、C、D、22、下面关于和的关系中,正确的是(B)A、B、5C、D、23、(D)A、0B、1C、D、24、积分等于(A)。A、0B、1C、e3D、e–325、系统的初始状态为零,仅由激励引起的响应称为(B)响应。A、零输入B、零状态C、自由D、强迫26、若信号满足在时,,则称为(C)。A、稳定信号B、非因果信号C、因果信号D、随机信号27、把激励看作是产生响应的原因,而零状态响应是激励引起的结果;则零状态响应不出现于激励之前的系统称为(C)系统。A、线性系统B、稳定系统C、因果系统D、时不变系统28、下列系统是线性且时不变的是(D)A.B.C.D.29、有界输入——有界输出的系统称为(B)A.因果系统B.稳定系统C.线性系统D.时不变系统30、微分方程的全响应可由下列两部分构成:(C)。A、自由响应和稳态响应B、强迫响应和瞬态响应C、零输入响应和零状态响应D、零状态响应和自由响应31、下列说法错误的是(D)。A、微分方程的全解是由齐次解和特解构成的;B、线性时不变连续时间系统的全响应包含零输入响应和零状态响应;C、微分方程的特解形式是由激励信号确定的,称为强迫响应;D、零输入响应包含全部的自由响应。632、冲激响应是激励为单位冲激函数时,系统的(A)响应。A、零状态B、零输入C、自由D、强迫33、阶跃响应是激励为单位阶跃函数时,系统的(A)响应。A、零状态B、零输入C、自由D、强迫34、设因果稳定的LTI系统的单位脉冲响应为,在时,=(B)A.1B.0C.D.-35、下列关于阶跃响应和冲激响应的说法中正确的是(B)A、冲激响应属于零输入响应,而阶跃响应属于零状态响应;B、冲激响应和阶跃响应都属于零状态响应;C、冲激响应是指当系统的输入为单位阶跃信号时,系统的零状态响应;D、阶跃响应是指当系统的输入为单位冲激信号时,系统的零状态响应;36、下面关于冲激响应和阶跃响应的关系中,正确的是(B)A、B、C、D、37、(D)A、B、C、D、38、(A)A、B、C、D、39、(D)A、0B、1C、D、以上都不对740、(A)。A、B、C、D、41、下列等式不成立的是(B)A、B、C、D、42、已知LTI因果系统的输入为,冲激响应为,则系统的零状态响应为(C)A、B、C、D43、卷积和的结果为(C)。A、;B、;C、;D、。44、的正确结果是(C)。A、B、C、D、45、以下等式成立的是(D)A、B、C、D、46、设,,,则(B)A...

1、当您付费下载文档后,您只拥有了使用权限,并不意味着购买了版权,文档只能用于自身使用,不得用于其他商业用途(如 [转卖]进行直接盈利或[编辑后售卖]进行间接盈利)。
2、本站所有内容均由合作方或网友上传,本站不对文档的完整性、权威性及其观点立场正确性做任何保证或承诺!文档内容仅供研究参考,付费前请自行鉴别。
3、如文档内容存在违规,或者侵犯商业秘密、侵犯著作权等,请点击“违规举报”。

碎片内容

信号与系统练习题——第1-3章

您可能关注的文档

确认删除?
VIP
微信客服
  • 扫码咨询
会员Q群
  • 会员专属群点击这里加入QQ群
客服邮箱
回到顶部