电脑桌面
添加小米粒文库到电脑桌面
安装后可以在桌面快捷访问

(全国通用)高考数学三轮冲刺 专题提升训练 基本初等函数(2)-人教版高三全册数学试题VIP免费

(全国通用)高考数学三轮冲刺 专题提升训练 基本初等函数(2)-人教版高三全册数学试题_第1页
1/5
(全国通用)高考数学三轮冲刺 专题提升训练 基本初等函数(2)-人教版高三全册数学试题_第2页
2/5
(全国通用)高考数学三轮冲刺 专题提升训练 基本初等函数(2)-人教版高三全册数学试题_第3页
3/5
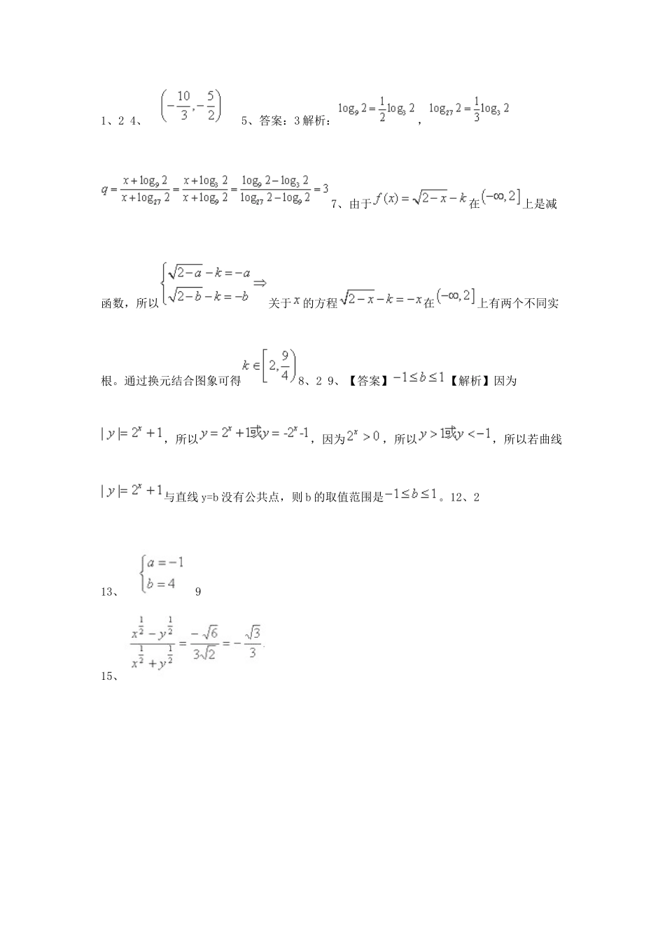
基本初等函数(2)1、若,则;4、设为非零实数,偶函数在区间上存在唯一零点,则实数的取值范围是。5、已知三数x+log272,x+log92,x+log32成等比数列,则公比为.7、函数的定义域为,若满足①在内是单调函数,②存在,使在上的值域为,那么叫做对称函数,现有是对称函数,那么的取值范围是.8、定义在上满足:,当时,=,则=.9、若曲线与直线y=b没有公共点,则b的取值范围是.12、设函数,是由轴和曲线及该曲线在点处的切线所围成的封闭区域,则在上的最大值为______________13、设函数,(1)若不等式的解集.求的值;(2)若求的最小值.15、已知且,求的值.19、设(Ⅰ)求函数的定义域;(Ⅱ)若存在实数满足,试求实数的取值范围.30、定义在R上的函数满足当-1≤x<3时,A.2013B.2012C.338D.33734、已知是函数的零点,,则①;②;③;④其中正确的命题是()(A)①④(B)②④(C)①③(D)②③40、函数的图象大致是()1、24、5、答案:3解析:,7、由于在上是减函数,所以关于的方程在上有两个不同实根。通过换元结合图象可得8、29、【答案】【解析】因为,所以,因为,所以,所以若曲线与直线y=b没有公共点,则b的取值范围是。12、213、915、19、解:(Ⅰ)f(x)=|x-3|+|x-4|=作函数y=f(x)的图象,它与直线y=2交点的横坐标为和,由图象知不等式的定义域为[,].(Ⅱ)函数y=ax-1的图象是过点(0,-1)的直线.当且仅当函数y=f(x)与直线y=ax-1有公共点时,存在题设的x.由图象知,a取值范围为(-∞,-2)∪[,+∞).30、【答案】D【解析】因为,所以函数的周期为6,又因为当-1≤x<3时,f(x)=x,所以,所以34、A40、C【解析】由于,因此函数是奇函数,其图像关于原点对称.当时,对函数求导可知函数先增后减,结合选项可知选C

1、当您付费下载文档后,您只拥有了使用权限,并不意味着购买了版权,文档只能用于自身使用,不得用于其他商业用途(如 [转卖]进行直接盈利或[编辑后售卖]进行间接盈利)。
2、本站所有内容均由合作方或网友上传,本站不对文档的完整性、权威性及其观点立场正确性做任何保证或承诺!文档内容仅供研究参考,付费前请自行鉴别。
3、如文档内容存在违规,或者侵犯商业秘密、侵犯著作权等,请点击“违规举报”。

碎片内容

(全国通用)高考数学三轮冲刺 专题提升训练 基本初等函数(2)-人教版高三全册数学试题

您可能关注的文档

远洋启航书店+ 关注
实名认证
内容提供者

从事历史教学,热爱教育,高度负责。

确认删除?
VIP
微信客服
  • 扫码咨询
会员Q群
  • 会员专属群点击这里加入QQ群
客服邮箱
回到顶部