电脑桌面
添加小米粒文库到电脑桌面
安装后可以在桌面快捷访问

(全国版)高考数学一轮复习 第二章 函数、导数及其应用 2.12 定积分的概念与微积分基本定理、定积分的简单应用课时提升作业 理-人教版高三全册数学试题VIP免费

(全国版)高考数学一轮复习 第二章 函数、导数及其应用 2.12 定积分的概念与微积分基本定理、定积分的简单应用课时提升作业 理-人教版高三全册数学试题_第1页
1/11
(全国版)高考数学一轮复习 第二章 函数、导数及其应用 2.12 定积分的概念与微积分基本定理、定积分的简单应用课时提升作业 理-人教版高三全册数学试题_第2页
2/11
(全国版)高考数学一轮复习 第二章 函数、导数及其应用 2.12 定积分的概念与微积分基本定理、定积分的简单应用课时提升作业 理-人教版高三全册数学试题_第3页
3/11
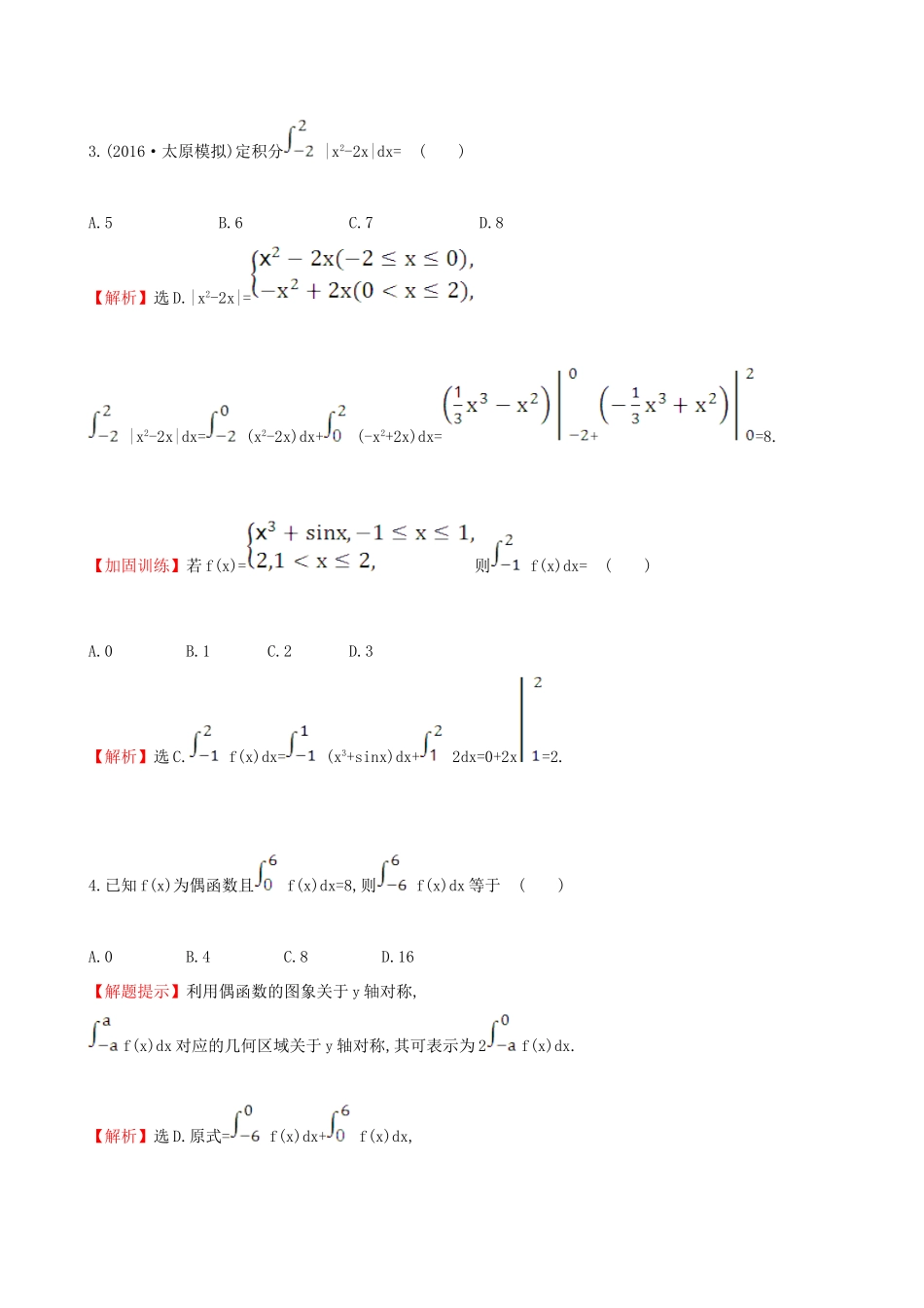
定积分的概念与微积分基本定理、定积分的简单应用(25分钟50分)一、选择题(每小题5分,共35分)1.(2016·长沙模拟)定积分(3x+ex)dx的值为()A.e+1B.eC.e-D.e+【解析】选D.(3x+ex)dx==+e-1=+e.2.(2016·石家庄模拟)直线y=x+4与曲线y=x2-x+1所围成的封闭图形的面积为()A.B.C.D.【解析】选C.因为x+4=x2-x+1的解为x=-1或x=3,所以封闭图形的面积为S=[x+4-(x2-x+1)]dx=(-x2+2x+3)dx==.【方法技巧】求平面几何图形面积的技巧求平面几何图形的面积,需根据几何图形的形状进行适当分割,然后通过分别求相应区间上的定积分求出各自的面积,再求和.3.(2016·太原模拟)定积分|x2-2x|dx=()A.5B.6C.7D.8【解析】选D.|x2-2x|=|x2-2x|dx=(x2-2x)dx+(-x2+2x)dx=+=8.【加固训练】若f(x)=则f(x)dx=()A.0B.1C.2D.3【解析】选C.f(x)dx=(x3+sinx)dx+2dx=0+2x=2.4.已知f(x)为偶函数且f(x)dx=8,则f(x)dx等于()A.0B.4C.8D.16【解题提示】利用偶函数的图象关于y轴对称,f(x)dx对应的几何区域关于y轴对称,其可表示为2f(x)dx.【解析】选D.原式=f(x)dx+f(x)dx,因为原函数为偶函数,即在y轴两侧的图象对称.所以对应的面积相等,即f(x)dx=2f(x)dx=8×2=16.5.若S1=x2dx,S2=dx,S3=exdx,则S1,S2,S3的大小关系为()A.S11),则a的值为()A.2B.3C.4D.6【解析】选A.因为dx=(x2+lnx)=a2+lna-1-0=3+ln2,所以a=2.7.一物体受到与它运动方向相反的力:F(x)=ex+x的作用,则它从x=0运动到x=1时F(x)所做的功等于()A.+B.-C.-+D.--【解析】选D.由题意知W=-dx=-=--.二、填空题(每小题5分,共15分)8.(2016·泉州模拟)已知正方形ABCD,点M是DC的中点,由=m+n确定m,n的值,计算定积分sinxdx=.【解析】如图,=m+n=-+,sinxdx=-cosx=1.答案:19.曲线y=,y=2-x,y=-x所围成图形的面积为.【解析】画出草图,如图所示.解方程组及得交点分别为(1,1),(0,0),(3,-1).答案:【一题多解】解答本题还有如下解法:若选积分变量为y,则三个函数分别为x=y2,x=2-y,x=-3y.因为它们的交点分别为(1,1),(0,0),(3,-1).所以S=[(2-y)-(-3y)]dy+[(2-y)-y2]dy=(2+2y)dy+(2-y-y2)dy=(2y+y2)+=-(-2+1)+2--=.答案:【加固训练】已知函数y=f(x)的图象是折线段ABC,其中A(0,0),B,C(1,0),函数y=xf(x)(0≤x≤1)的图象与x轴围成的图形的面积为.【解析】y=f(x)的图象如图所示.可求得y=f(x)=所以x·f(x)=所以所求面积为S=10x2dx+dx=x3+=×+-(-×+5×)=.答案:10.若m>1,则f(m)=dx的最小值为.【解析】f(m)=dx==m+-5≥4-5=-1,当且仅当m=2时等号成立.答案:-1【加固训练】已知f(a)=(2ax2-a2x)dx,则f(a)的最大值为.【解析】f(a)=(2ax2-a2x)dx=(ax3-x2)=-a2+a=-(a-)2+,所以当a=时f(a)取得最大值.答案:(20分钟40分)1.(5分)若f(x)=则f(2014)=()A.B.C.D.【解析】选C.f(2014)=f(2014-5×402)=f(4)=f(4-5)=f(-1)=2-1+cos3tdt.因为cos3tdt=sin3t==,所以f(2014)=2-1+=.2.(5分)(2016·郑州模拟)由曲线xy=1,直线y=x,x=3及x轴所围成的曲边四边形的面积为()A.B.C.+ln3D.4-ln3【解析】选C.如图由xy=1得y=.由得xD=1,所以曲边四边形的面积为xdx+dx=x2+lnx=+ln3.3.(5分)设函数f(x)=ax2+c(a≠0),若f(x)dx=f(x0),0≤x0≤1,则x0的值为.【解析】f(x)dx=(ax2+c)dx==a+c=f(x0)=a+c,所以=,x0=±.又因为0≤x0≤1,所以x0=.答案:4.(12分)已知f(x)为二次函数,且f(-1)=2,f′(0)=0,f(x)dx=-2.(1)求f(x)的解析式.(2)求f(x)在[-1,1]上的最大值与最小值.【解析】(1)设f(x)=ax2+bx+c(a≠0),则f′(x)=2ax+b.由f(-1)=2,f′(0)=0,得即所以f(x)=ax2+2-a.又f(x)dx=(ax2+2-a)dx==2-a=-2.所以a=6,从而f(x)=6x2-4.(2)因为f(x)=6x2-4,x∈[-1,1].所以当x=0时,f(x)min=-4;当x=±1时,f(x)max=2.5.(13分)如图所示,求由抛物线y=-x2+4x-3及其在点A(0,-3)和点B(3,0)处的切线所围成的图形的面积.【解析】由题意,知抛物线y=-x2+4x-3在点A处的切线斜率是k1=y′|x=0=4,在点B处的切线斜率是k2=y′|x=3=-2.因此,抛物线过点A的切线方程为y=4x-3,过点B的切线方程为y=-2x+6.设两切线相交于点M,由消去y,得x=,即点M的横坐标为.在区间上,直线y=4x-3在曲线y=-x2+4x-3的上方;在区间上,直线y=-2x+6在曲线y=-x2+4x-3的上方.因此,所求的图形的面积是S=[(4x-3)-(-x2+4x-3)]dx+[(-2x+6)-(-x2+4x-3)]dx=x2dx+(x2-6x+9)dx=+=.

1、当您付费下载文档后,您只拥有了使用权限,并不意味着购买了版权,文档只能用于自身使用,不得用于其他商业用途(如 [转卖]进行直接盈利或[编辑后售卖]进行间接盈利)。
2、本站所有内容均由合作方或网友上传,本站不对文档的完整性、权威性及其观点立场正确性做任何保证或承诺!文档内容仅供研究参考,付费前请自行鉴别。
3、如文档内容存在违规,或者侵犯商业秘密、侵犯著作权等,请点击“违规举报”。

碎片内容

(全国版)高考数学一轮复习 第二章 函数、导数及其应用 2.12 定积分的概念与微积分基本定理、定积分的简单应用课时提升作业 理-人教版高三全册数学试题

您可能关注的文档

状元书店+ 关注
实名认证
内容提供者

热爱教学事业,对互联网知识分享很感兴趣

确认删除?
VIP
微信客服
  • 扫码咨询
会员Q群
  • 会员专属群点击这里加入QQ群
客服邮箱
回到顶部