电脑桌面
添加小米粒文库到电脑桌面
安装后可以在桌面快捷访问

山西省朔州市怀仁某校 高二数学上学期第四次月考试卷 理试卷VIP免费

山西省朔州市怀仁某校 高二数学上学期第四次月考试卷 理试卷_第1页
1/9
山西省朔州市怀仁某校 高二数学上学期第四次月考试卷 理试卷_第2页
2/9
山西省朔州市怀仁某校 高二数学上学期第四次月考试卷 理试卷_第3页
3/9
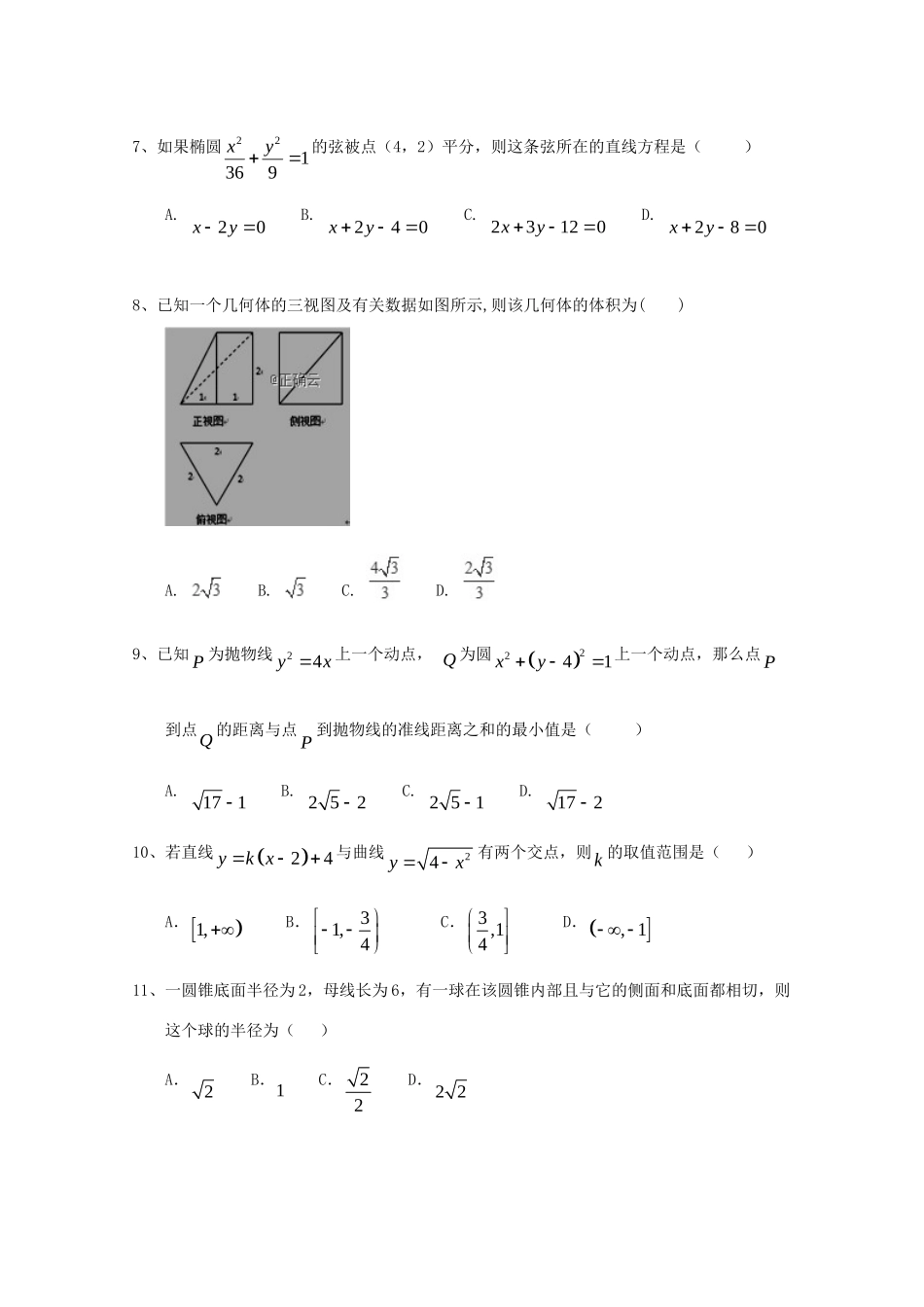
山西省朔州市怀仁某校2018-2019学年高二数学上学期第四次月考试题理一、选择题(共12个小题,每个题目只有一个选项正确,每题5分,合计60分)1、焦点为06,,且与双曲线2212xy有相同的渐近线的双曲线方程是()A.2211224xyB.2211224yxC.2212412yxD.2212412xy2、已知8,Pa在抛物线24ypx上,且P到焦点的距离为10,则焦点到准线的距离为()A.2B.4C.8D.163、若x2+y2>2,则|x|>1或|y|>1的否命题是()A.若x2+y2≤2,则|x|≤1且|y|≤1B.若x2+y2<2,则|x|≤1且|y|≤1C.若x2+y2<2,则|x|<1或|y|<1D.若x2+y2<2,则|x|≤1或|y|≤14、下列命题中,不是真命题的是()A.命题“若22ambm,则ab”的逆命题.B.“1ab”是“1a且1b”的必要条件.C.命题“若29x,则3x”的否命题.D.“1x”是“11x”的充分不必要条件.5、双曲线22221xyab的一条渐近线与直线210xy垂直,则双曲线的离心率为()A.52B.5C.312D.316、不等式x2+3x+2>0成立的一个充分不必要条件是()A.(﹣1,+∞)B.[﹣1,+∞)C.(﹣∞,﹣2]∪[﹣1,+∞)D.(﹣1,+∞)∪(﹣∞,﹣2)7、如果椭圆221369xy的弦被点(4,2)平分,则这条弦所在的直线方程是()A.20xyB.240xyC.23120xyD.280xy8、已知一个几何体的三视图及有关数据如图所示,则该几何体的体积为()A.B.C.D.9、已知P为抛物线24yx上一个动点,Q为圆2241xy上一个动点,那么点P到点Q的距离与点P到抛物线的准线距离之和的最小值是()A.171B.252C.251D.17210、若直线24ykx与曲线24yx有两个交点,则k的取值范围是()A.1,B.31,4C.3,14D.,111、一圆锥底面半径为2,母线长为6,有一球在该圆锥内部且与它的侧面和底面都相切,则这个球的半径为()A.2B.1C.22D.2212、椭圆M:22221(0)xyabab左右焦点分别为1F,2F,P为椭圆M上任一点且1PF2PF最大值取值范围是222,3cc,其中22cab,则椭圆离心率取值范围()A.2,12B.32,32C.3,13D.11,32二、填空题(共4个小题,每题5分,合计20分)13、如图正方形OABC的边长为1cm,它是水平放置的一个平面图形的直观图,则原图形的周长是_____________。14、在平面直角坐标系xOy中,已知△ABC顶点A(-3,0)和C(3,0),顶点B在椭圆2212516xy上,则sinsin2sinACB。15、已知双曲线22221xyab(0a,0b)的焦点分别是1F、2F,焦距为2c,双曲线上存在一点P,使直线1PF与圆222xya相切于1PF的中点M,则双曲线的离心率是.16、当圆22:4630Cxyxy的圆心到直线:10lmxym的距离最大时,m__________.三、解答题(共6个大题,其中17题10分,其余每个题目12分)17、求满足下列条件的标准方程。⑴焦点在y轴上的椭圆的一个顶点为A(2,0),其长轴长是短轴长的2倍,求椭圆的标准方程.⑵已知双曲线的一条渐近线方程是20xy,并经过点2,2,求此双曲线的标准方程.18、已知集合A是函数的定义域,集合B是不等式的解集,,。.(1)若,求的取值范围;(2)若是的充分不必要条件,求的取值范围.19、如图,在四棱锥P﹣ABCD中,PD⊥底面ABCD,底面ABCD为正方形,PD=DC=2,E、F分别是AB、PB的中点.(1)求证:EF⊥CD;(2)求DB与平面DEF所成角的正弦值.20、己知椭圆C:(a>b>0)的两个焦点和短轴的两个端点都圆x2+y2=1上.(Ⅰ)求椭圆C的方程;(Ⅱ)若斜率为k的直线经过点M(2,0),且与椭圆C相交于A,B两点,试探讨k为何值时,OA⊥OB.21、已知中心在原点的椭圆C的左焦点30F(-,),右顶点20A(,).(1)求椭圆C的标准方程;(2)斜率为21的直线l与椭圆C交于AB、两点,求弦长AB的最大值及此时l的直线方程.22、在平面直角坐标系内已知两点A(-1,0)、B(1,0),若将动点的横坐标保持不变,纵坐标扩大到原来的倍后得到点,且满足.(Ⅰ)求动点P所在曲线C的方程;(Ⅱ)过点B作斜率为的直线l交曲线C于M,N两点,且,又点H关于原点O的对称点为点G,试问M、G、N、...

1、当您付费下载文档后,您只拥有了使用权限,并不意味着购买了版权,文档只能用于自身使用,不得用于其他商业用途(如 [转卖]进行直接盈利或[编辑后售卖]进行间接盈利)。
2、本站所有内容均由合作方或网友上传,本站不对文档的完整性、权威性及其观点立场正确性做任何保证或承诺!文档内容仅供研究参考,付费前请自行鉴别。
3、如文档内容存在违规,或者侵犯商业秘密、侵犯著作权等,请点击“违规举报”。

碎片内容

山西省朔州市怀仁某校 高二数学上学期第四次月考试卷 理试卷

雨丝书吧+ 关注
实名认证
内容提供者

乐于和他人分享知识,从事历史教学,热爱教育,高度负责。

确认删除?
VIP
微信客服
  • 扫码咨询
会员Q群
  • 会员专属群点击这里加入QQ群
客服邮箱
回到顶部