电脑桌面
添加小米粒文库到电脑桌面
安装后可以在桌面快捷访问

内蒙古省包头市八年级数学上学期第一次月考试题答案 新人教版 内蒙古省包头市八年级数学上学期第一次月考试题(pdf) 新人教版 内蒙古省包头市八年级数学上学期第一次月考试题(pdf) 新人教版VIP免费

内蒙古省包头市八年级数学上学期第一次月考试题答案 新人教版 内蒙古省包头市八年级数学上学期第一次月考试题(pdf) 新人教版 内蒙古省包头市八年级数学上学期第一次月考试题(pdf) 新人教版_第1页
1/3
内蒙古省包头市八年级数学上学期第一次月考试题答案 新人教版 内蒙古省包头市八年级数学上学期第一次月考试题(pdf) 新人教版 内蒙古省包头市八年级数学上学期第一次月考试题(pdf) 新人教版_第2页
2/3
内蒙古省包头市八年级数学上学期第一次月考试题答案 新人教版 内蒙古省包头市八年级数学上学期第一次月考试题(pdf) 新人教版 内蒙古省包头市八年级数学上学期第一次月考试题(pdf) 新人教版_第3页
3/3
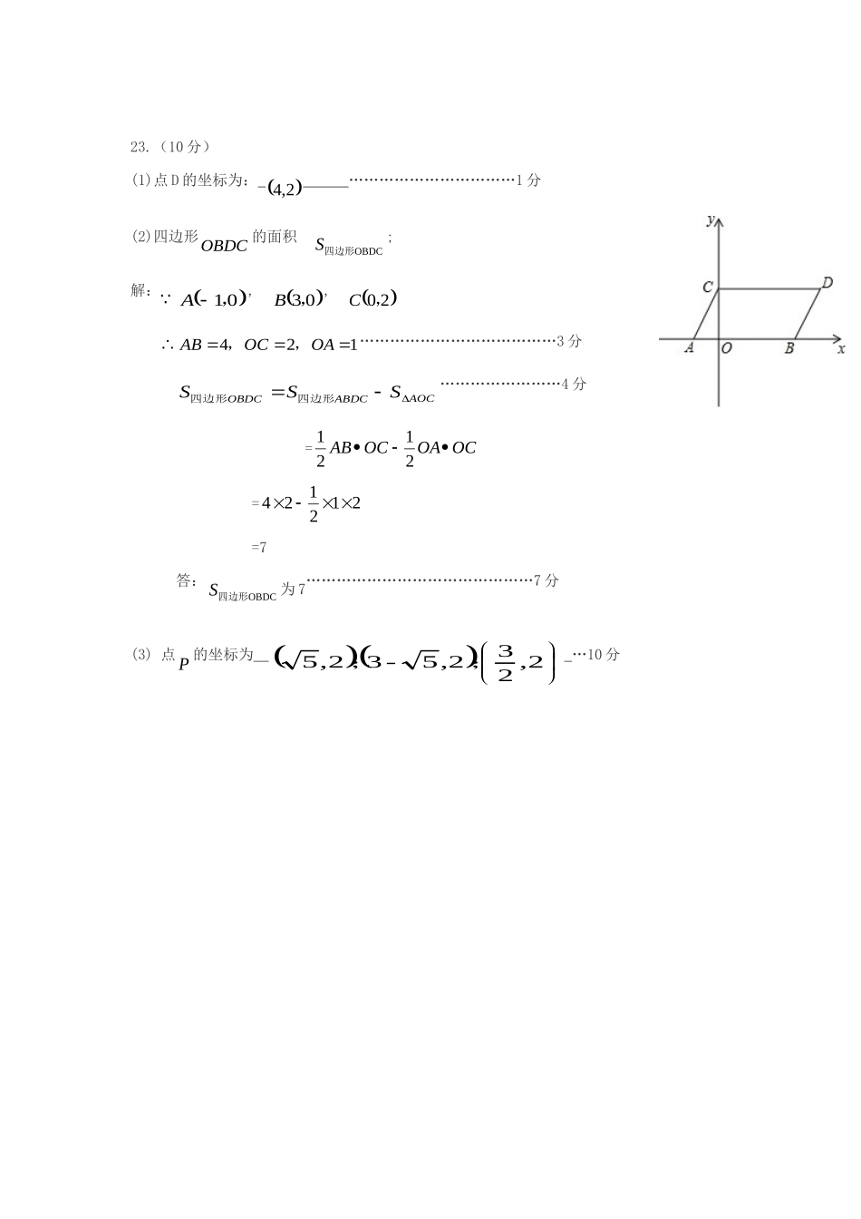
内蒙古省包头市2017-2018学年八年级数学上学期第一次月考试题答案一、选择题1—5DCCCC6—10DCBAB二、填空题11.312.613.(-1,-2)14.215.016.32或4217.5218.504,504三、解答题19.(1)(2分)4-83250(2)(3分)2-323-816-72;=4225……………1分=2-3-816-872……………1分=1-2-3……………2分=4-210……………2分=2-2……………3分(3)(3分)23-1-2122.=324-12……………2分=1-32……………………3分(4分)2312-127-3-0=2-31-233-1……………3分=32-………………………………4分20.(8分)(1)点A关于x轴对称的点的坐标为1,2(1分);点B关于y轴对称的点的坐标为3,4-(1分);点C关于原点对称的点的坐标为2-1-,(1分);(2)1A0,0(1分),1B4,2(1分),1C3,1-(1分).(3)ABC的面积为5(2分)21.(8分)解:设AC=x米…………………………1分根据题意,得出:AC=AB=x,∵CD=1米,CD=EB…………………………………2分∴AE=AB-EB=(x-1)米……………………………3分∵CE=3米,△AEC为直角三角形,∴在AECRt中,根据勾股定理……………………4分有:222CEAEAC,即:22231xx,解得:x=5(米).………………………………………7分答:AC的长为5米.…………………………………8分22.(8分)解:(1)1001.0xy甲…………………………………1分xy2.0乙………………………………………2分(2)根据题意得:乙甲yy,…………………………………………………3分解之得:……………………………………………………4分答:当印刷1000份时,两个印刷厂费用一样多.……………………5分(3)当时,;160180答:选择乙印刷厂划算.………………………………………………8分23.(10分)(1)点D的坐标为:2,4……………………………1分(2)四边形OBDC的面积OBDC四边形S;解:01,A,03,B,20,C124OAOCAB,,…………………………………3分AOCABDCOBDCSSS四边形四边形……………………4分=OCOAOCAB2121=212124=7答:OBDC四边形S为7………………………………………7分(3)点P的坐标为2,232,5-32,5;;…10分

1、当您付费下载文档后,您只拥有了使用权限,并不意味着购买了版权,文档只能用于自身使用,不得用于其他商业用途(如 [转卖]进行直接盈利或[编辑后售卖]进行间接盈利)。
2、本站所有内容均由合作方或网友上传,本站不对文档的完整性、权威性及其观点立场正确性做任何保证或承诺!文档内容仅供研究参考,付费前请自行鉴别。
3、如文档内容存在违规,或者侵犯商业秘密、侵犯著作权等,请点击“违规举报”。

碎片内容

内蒙古省包头市八年级数学上学期第一次月考试题答案 新人教版 内蒙古省包头市八年级数学上学期第一次月考试题(pdf) 新人教版 内蒙古省包头市八年级数学上学期第一次月考试题(pdf) 新人教版

您可能关注的文档

;绿洲书城+ 关注
实名认证
内容提供者

从事历史教学,热爱教育,高度负责。

相关文档

确认删除?
VIP
微信客服
  • 扫码咨询
会员Q群
  • 会员专属群点击这里加入QQ群
客服邮箱
回到顶部