电脑桌面
添加小米粒文库到电脑桌面
安装后可以在桌面快捷访问

吉林省蛟河市一中高一数学上学期第一次月考试卷VIP免费

吉林省蛟河市一中高一数学上学期第一次月考试卷_第1页
1/8
吉林省蛟河市一中高一数学上学期第一次月考试卷_第2页
2/8
吉林省蛟河市一中高一数学上学期第一次月考试卷_第3页
3/8
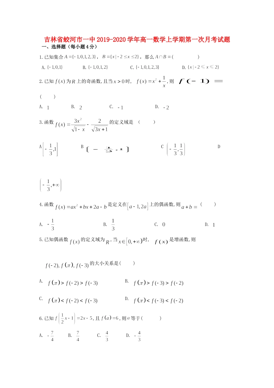
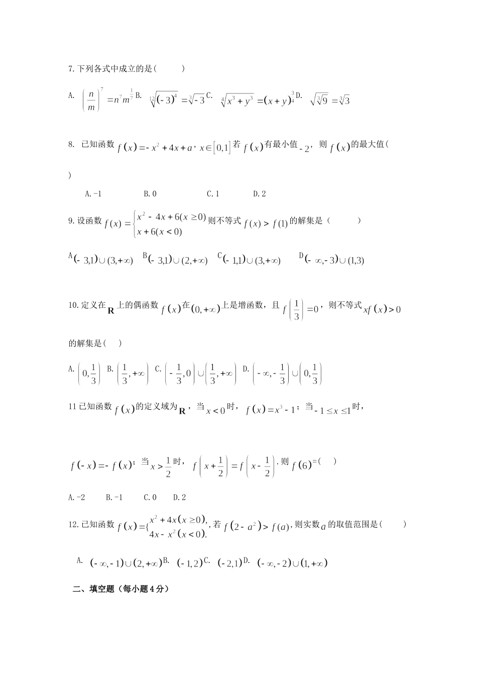
吉林省蛟河市一中2019-2020学年高一数学上学期第一次月考试题一、选择题(每小题4分)1.已知集合,,那么()A.B.C.D.2.已知为上的奇函数,且当时,,则()A.B.C.D.3.函数的定义域是()ABCD4.函数是定义在上的偶函数,则()A.B.C.D.5.已知偶函数的定义域为,当时,是增函数,则的大小关系是()A.B.C.D.6.已知,且,则等于()A.B.C.D.7.下列各式中成立的是()A.B.C.D.8.已知函数,若有最小值,则的最大值()A.-1B.0C.1D.29.设函数则不等式的解集是()ABCD10.定义在上的偶函数在上是增函数,且,则不等式的解集是()A.B.C.D.11已知函数的定义域为,当时,;当时,;当时,.则=()A.-2B.-1C.0D.212.已知函数,若,则实数的取值范围是()A.B.C.D.二、填空题(每小题4分)13.已知全集则__________14.若函数为偶函数,则实数__________.15.__________16.已知奇函数在上为增函数,对任意的,恒成立,则x的取值范围是.三、解答题17.(10分)已知函数.1.若为奇函数,(1).求的值;(2).试判断在内的单调性,并用定义证明.18.(10分)已知集合,,全集.(1)当时,求;(2)若,求实数a的取值范围.19.(12)函数是定义在上的减函数,对任意的,都有,且.(1).求的值;(2).解不等式.20.(12)设函数(1)画出这个函数的图象;(2)指出函数的单调区间;(3)求函数的值域.21.(12)已知是定义在R上的偶函数,当时.是二次函数.其图象与x轴交于,与y轴交于.(1)求的解析式;(2)若方程有四个不同的实数根,试求a的取值范围.数学参考答案一、选择题1.B2.D3.B4.B5.B6.B7.D8.C9.A10.C11.D12.C二、填空13.314.015.16.:三、解答题17、1.∵,∴,∵是奇函数,∴,即,解之得.2.设,则.∵,从而,即,所以函数在内是单调增函数.18、(1)当时,,所以(2)因为,所以,①当,即即时满足题意,②当时,由,有,解得,综合①②得:实数a的取值范围为:或19、(1).因为,所以.(2).由,得因为是上的减函数,所以解得.所以不等式的解集为20、(1)当时,;当时,.即,画出函数的图象(略).(2)函数的单调递减区间为,单调递增区间为.(3)当时,函数的最小值为-2,最大值为;当时,函数的最小值为-2,最大值为.故函数的值域为.21、(1)依题意可设,当时,.由得,所以.此时.当时,,则.又因为是偶函数,所以.所以.所以(2)依题意有四个不同的实数根,即与在同一坐标系中的图象有四个不同的交点.如图可知只需满足条件,所以.即实数a的取值范围是.

1、当您付费下载文档后,您只拥有了使用权限,并不意味着购买了版权,文档只能用于自身使用,不得用于其他商业用途(如 [转卖]进行直接盈利或[编辑后售卖]进行间接盈利)。
2、本站所有内容均由合作方或网友上传,本站不对文档的完整性、权威性及其观点立场正确性做任何保证或承诺!文档内容仅供研究参考,付费前请自行鉴别。
3、如文档内容存在违规,或者侵犯商业秘密、侵犯著作权等,请点击“违规举报”。

碎片内容

吉林省蛟河市一中高一数学上学期第一次月考试卷

星河书苑+ 关注
实名认证
内容提供者

从事历史教学,热爱教育,高度负责。

确认删除?
VIP
微信客服
  • 扫码咨询
会员Q群
  • 会员专属群点击这里加入QQ群
客服邮箱
回到顶部