电脑桌面
添加小米粒文库到电脑桌面
安装后可以在桌面快捷访问

宁夏石嘴山市 高二数学上学期第二次(12月)月考试卷 文试卷VIP免费

宁夏石嘴山市 高二数学上学期第二次(12月)月考试卷 文试卷_第1页
1/7
宁夏石嘴山市 高二数学上学期第二次(12月)月考试卷 文试卷_第2页
2/7
宁夏石嘴山市 高二数学上学期第二次(12月)月考试卷 文试卷_第3页
3/7
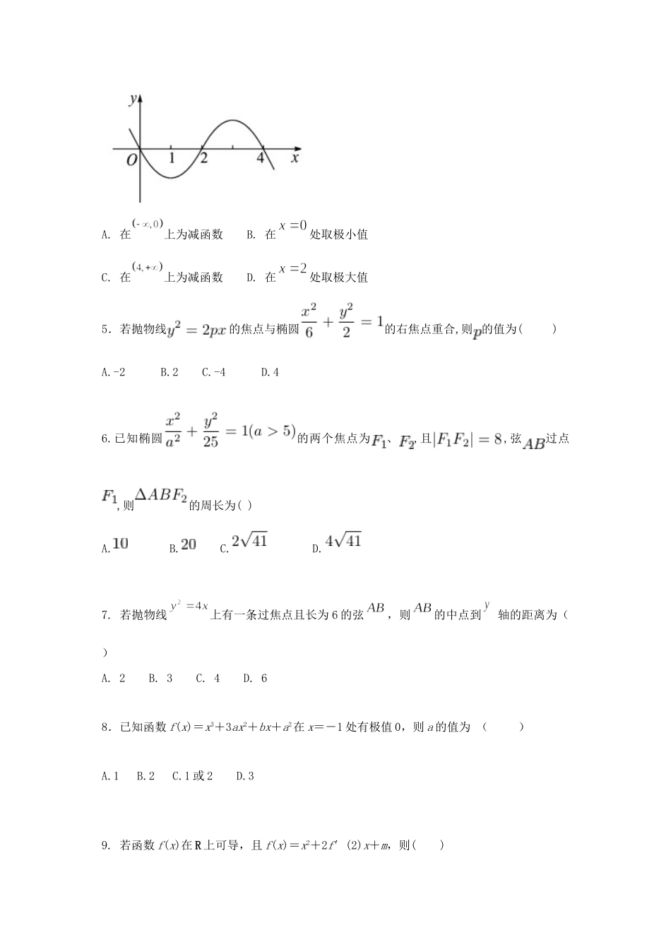
宁夏石嘴山市2017-2018学年高二数学上学期第二次(12月)月考试题文(无答案)注意事项:1、答题前填写好自己的姓名、班级、考号等信息2、请将答案正确填写在答题卡上第1卷一.选择题1、已知命题,则命题的否定是()A.B.C.D.2、下列命题中:①线性回归方程ˆˆˆybxa至少经过点(x1,y1),(x2,y2),…,(xn,yn)中的一个点;②若变量y和x之间的相关系数为0.9462r,则变量y和x之间的负相关很强;③在回归分析中,相关指数2R为0.80的模型比相关指数2R为0.98的模型拟合的效果要好;④在回归直线0.58ˆyx中,变量2x时,变量y的值一定是-7。其中假命题的个数是()A.1B.2C.3D.43.双曲线的渐近线方程是A.B.C.D.4、已知函数,其导函数的图像如图所示,则()A.在上为减函数B.在处取极小值C.在上为减函数D.在处取极大值5.若抛物线的焦点与椭圆的右焦点重合,则的值为()A.-2B.2C.-4D.46.已知椭圆的两个焦点为、,且,弦过点,则的周长为()A.B.C.D.7.若抛物线上有一条过焦点且长为6的弦,则的中点到轴的距离为()A.2B.3C.4D.68.已知函数f(x)=x3+3ax2+bx+a2在x=-1处有极值0,则a的值为()A.1B.2C.1或2D.39.若函数f(x)在R上可导,且f(x)=x2+2f′(2)x+m,则()A.f(0)f(5)D.f(0)≥f(5)10、已知是R上的单调增函数,则的取值范围是()A.B.C.D.11、已知,,为的导函数,若,且,则的最小值为()A.B.C.D.12、设函数是奇函数的导函数,,当时,,则使得成立的的取值范围是()A.B.C.D.二.填空题13.调查了某地若干户家庭的年收入x(单位:万元)和年饮食支出y(单元:万元),调查显示年收入x与年饮食支出y具有线性相关关系,并由调查数据得到y对x的回归直线方程:=0.254x+0.321.由回归直线方程可知,家庭年收入每年增加1万元,年饮食支出平均增加万元.14.曲线在点处的切线与坐标轴所围三角形的面积为.15.设抛物线y2=16x上一点P到对称轴的距离为12,则点P与焦点F的距离|PF|=________.16.设双曲线的半焦距为,直线经过双曲线的右顶点和虚轴的上端点.已知原点到直线的距离为,双曲线的离心率为。三.解答题17、某市调研考试后,某校对甲、乙两个文科班的数学考试成绩进行分析,规定:大于或等于120分为优秀,120分以下为非优秀.统计成绩后,得到如下的列联表,且已知在甲、乙两个文科班全部110人中优秀的人数是30人.1.请完成上面的列联表;2.根据列联表的数据,若按99.9%的可靠性要求,能否认为“成绩与班级有关系”;参考公式与临界值表.优秀非优秀合计甲班10乙班30合计11018、下表提供了某厂节能降耗技术改造后生产甲产品过程中记录的产量(吨)与相应的生产能耗(吨)标准煤的几组对照数据:(1)请画出上表数据的散点图;12345236910(2)请根据上表提供的数据,求出关于的线性回归方程,并在坐标系中画出回归直线;(3)已知该厂技术改造前100吨甲产品能耗为220吨标准煤,试根据(2)求出的线性回归方程,预测生产100吨甲产品的生产能耗比技术改造前降低多少吨标准煤?注:,19、已知函数在与时都取得极值.⑴求、的值与函数的单调区间;⑵若,求的最大值.20、设A,B为曲线C:y=上两点,A与B的横坐标之和为4.(1)求直线AB的斜率;(2)设M为曲线C上一点,C在M处的切线与直线AB平行,且AMBM,求直线AB的方程.21.已知函数.(1)证明:函数在区间上是减函数;(2)当时,证明:函数只有一个零点.22、已知椭圆的离心率为,且以原点为圆心,椭圆的焦距为直径的圆与直线相切(为常数).(1)求椭圆的标准方程;(2)如图,若椭圆的左、右焦点分别为,过作直线与椭圆分别交于两点,求的取值范围.

1、当您付费下载文档后,您只拥有了使用权限,并不意味着购买了版权,文档只能用于自身使用,不得用于其他商业用途(如 [转卖]进行直接盈利或[编辑后售卖]进行间接盈利)。
2、本站所有内容均由合作方或网友上传,本站不对文档的完整性、权威性及其观点立场正确性做任何保证或承诺!文档内容仅供研究参考,付费前请自行鉴别。
3、如文档内容存在违规,或者侵犯商业秘密、侵犯著作权等,请点击“违规举报”。

碎片内容

宁夏石嘴山市 高二数学上学期第二次(12月)月考试卷 文试卷

您可能关注的文档

确认删除?
VIP
微信客服
  • 扫码咨询
会员Q群
  • 会员专属群点击这里加入QQ群
客服邮箱
回到顶部