电脑桌面
添加小米粒文库到电脑桌面
安装后可以在桌面快捷访问

内蒙古鄂尔多斯市高三数学上学期期中试题 理 试题VIP免费

内蒙古鄂尔多斯市高三数学上学期期中试题 理 试题_第1页
1/12
内蒙古鄂尔多斯市高三数学上学期期中试题 理 试题_第2页
2/12
内蒙古鄂尔多斯市高三数学上学期期中试题 理 试题_第3页
3/12
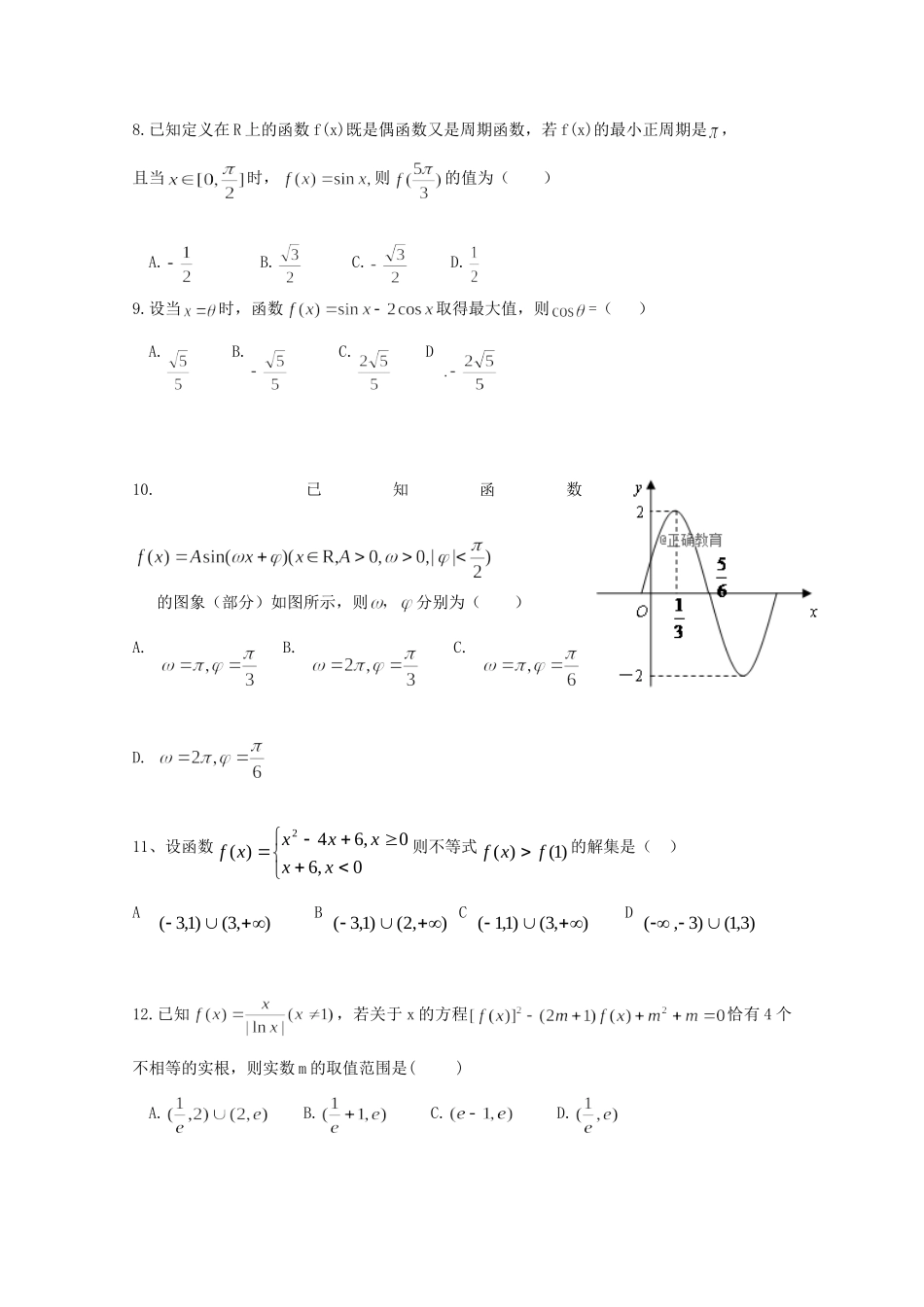
鄂尔多斯市2018——2019学年第一学期期中考试高三年级理科数学试题(考试时间:120分钟,试卷满分:150分)注意事项:1.考试时间120分钟,卷面分数150分。2.答卷前,将密封线内相关内容填写清楚。3.不要在密封线内答题。一、选择题(共12题,每小题5分)1.已知集合A={0,2,},B={},若,则的值为()A.0B.1C.2D.42.设命题,则为()A.B.C.D.3.在中,若则AC=()A.1B.2C.3D.44.已知2弧度的圆心角所对的弦长为2,那么这个圆心角所对的弧长为()A.2B.C.D.5.设函数f(x)=cos(x+),则下列结论错误的是()A.f(x)的一个周期为−2πB.y=f(x)的图像关于直线x=对称C.f(x+π)的一个零点为x=D.f(x)在(,π)单调递减6.已知,则().A.B.C.D.7.函数f(x)=lnx+2x-6的零点在下列哪个区间内()A.(0,1)B.(1,2)C.(2,3)D.(3,4)8.已知定义在R上的函数f(x)既是偶函数又是周期函数,若f(x)的最小正周期是,且当时,则的值为()A.B.C.D.9.设当时,函数取得最大值,则=()A.B.C.D10.已知函数的图象(部分)如图所示,则分别为()A.B.C.D.11、设函数0,60,64)(2xxxxxxf则不等式)1()(fxf的解集是()A),3()1,3(B),2()1,3(C),3()1,1(D)3,1()3,(12.已知,若关于x的方程恰有4个不相等的实根,则实数m的取值范围是()A.B.C.D.二、填空题(共4题,每小题5分)13、计算:=__________14、函数的递减区间为_________15、已知幂函数f(x)=x(k∈N)满足f(2)

1、当您付费下载文档后,您只拥有了使用权限,并不意味着购买了版权,文档只能用于自身使用,不得用于其他商业用途(如 [转卖]进行直接盈利或[编辑后售卖]进行间接盈利)。
2、本站所有内容均由合作方或网友上传,本站不对文档的完整性、权威性及其观点立场正确性做任何保证或承诺!文档内容仅供研究参考,付费前请自行鉴别。
3、如文档内容存在违规,或者侵犯商业秘密、侵犯著作权等,请点击“违规举报”。

碎片内容

内蒙古鄂尔多斯市高三数学上学期期中试题 理 试题

您可能关注的文档

确认删除?
微信客服
  • 扫码咨询
会员Q群
  • 会员专属群点击这里加入QQ群