电脑桌面
添加小米粒文库到电脑桌面
安装后可以在桌面快捷访问

吉林省长春汽车经济技术开发区六中 高二数学上学期期末考试试卷 文试卷VIP免费

吉林省长春汽车经济技术开发区六中 高二数学上学期期末考试试卷 文试卷_第1页
1/14
吉林省长春汽车经济技术开发区六中 高二数学上学期期末考试试卷 文试卷_第2页
2/14
吉林省长春汽车经济技术开发区六中 高二数学上学期期末考试试卷 文试卷_第3页
3/14
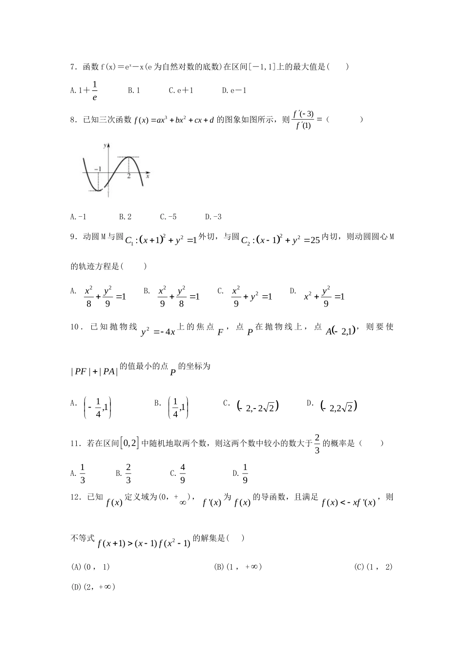
汽车区六中高二年级2017~2018学年度上学期期末考试试题数学(文)学科考试说明:1.考试时间为120分钟,满分150分,选择题涂卡。2.考试完毕交答题卡。第Ⅰ卷一、选择题(本题包括12个小题,每小题只有一个正确选项,每小题5分,共60分)1.已知椭圆222212:1,:1,124168xyxyCC则()A.1C与2C顶点相同.B.1C与2C长轴长相同.C.1C与2C短轴长相同.D.1C与2C焦距相等.2.某入伍新兵在打靶训练中,连续射击2次,则事件“至少有1次中靶”的互斥事件是()A.至多有一次中靶B.2次都中靶C.2次都不中靶D.只有一次中靶3.两个二进制数101(2)与110(2)的和用十进制数表示为()A.12B.11C.10D.94.已知双曲线22221(0,0)xyabab的离心率为62,则其渐近线方程为()A.2yxB.22yxC.12yxD.2yx5.椭圆221myx的一个顶点在抛物线212yx的准线上,则椭圆的离心率()A.638B.32C.4D.526.设函数sinxfxx,则2f()A.2B.2C.1D.﹣17.函数f(x)=ex-x(e为自然对数的底数)在区间[-1,1]上的最大值是()A.1+1eB.1C.e+1D.e-18.已知三次函数32()fxaxbxcxd的图象如图所示,则(3)(1)ff()A.-1B.2C.-5D.-39.动圆M与圆221:11Cxy外切,与圆222:125Cxy内切,则动圆圆心M的轨迹方程是()A.22189xyB.22198xyC.2219xyD.2219yx10.已知抛物线xy42上的焦点F,点P在抛物线上,点1,2A,则要使||||PFPA的值最小的点P的坐标为A.1,41B.1,41C.22,2D.22,211.若在区间0,2中随机地取两个数,则这两个数中较小的数大于32的概率是()A.31B.32C.94D.9112.已知()fx定义域为(0,+),'()fx为()fx的导函数,且满足()'()fxxfx,则不等式2(1)(1)(1)fxxfx的解集是()(A)(0,1)(B)(1,+)(C)(1,2)(D)(2,+)第Ⅱ卷二、填空题(本题包括4个小题,每小题5分,共20分)13.某学校有初中生1200人,高中生900人,教师120人,现采用分层抽样的方法,从所有师生中抽取一个容量为n的样本进行调查.如果从高中生中抽取60人,则样本容量_________n.14.某互联网公司借助手机微信平台推广自己的产品,对今年前5个月的微信推广费用x与利润额y(单位:百万元)进于了初步统计,得到下列表格中的数据:x24568y304060p70经计算,月微信推广费用x与月利润额y满足线性回归方程6.5175ˆ.yx,则p的值为__________.15.过抛物线xy22内一点A(1,1)作弦BC,若A为BC的中点,则直线BC的方程为16.如图是()yfx的导函数的图像,现有四种说法:①()fx在(1,3)上是减函数;②1x是()fx的极小值点;③()fx在(2,4)上是减函数,在(1,2)上是增函数;④2x是()fx的极小值点;以上正确的序号为________.三、解答题(本题包括6个小题,共70分)17.(10分)某中学举行了一次“环保知识竞赛”,全校学生参加了这次竞赛.为了了解本次竞赛成绩情况,从中抽取了部分学生的成绩(得分取正整数,满分为100分)作为样本进行统计.请根据下面尚未完成并有局部污损的频率分布表和频率分布直方图(如图所示)解决下列问题:频率分布表组别分组频数频率第1组[50,60)8016第2组[60,70)a▓第3组[70,80)20040第4组[80,90)▓008第5组[90,100]2b合计▓▓(1)求出,,,abxy的值;(2)在选取的样本中,从竞赛成绩是80分以上(含80分)的同学中随机抽取2名同学到广场参加环保知识的志愿宣传活动(ⅰ)求所抽取的2名同学中至少有1名同学来自第5组的概率;(ⅱ)求所抽取的2名同学来自同一组的概率18.(12分)户外运动已经成为一种时尚运动,某单位为了了解员工喜欢户外运动是否与性别有关,决定从本单位全体650人中采用分层抽样的办法抽取50人进行问卷调查,得到了如下列联表:喜欢户外运动不喜欢户外运动合计男性5女性10合计50已知在这50人中随机抽取1人抽到喜欢户外运动的员工的概率是35.(1)请将上面的列联表补充完整;(2)求该公司男、女员工各多少名;(3)是否有99.5%的把握认为喜欢户外运动与性别有关?并说明你的理由.下面的临界值表仅供参考:2()PKk0.150...

1、当您付费下载文档后,您只拥有了使用权限,并不意味着购买了版权,文档只能用于自身使用,不得用于其他商业用途(如 [转卖]进行直接盈利或[编辑后售卖]进行间接盈利)。
2、本站所有内容均由合作方或网友上传,本站不对文档的完整性、权威性及其观点立场正确性做任何保证或承诺!文档内容仅供研究参考,付费前请自行鉴别。
3、如文档内容存在违规,或者侵犯商业秘密、侵犯著作权等,请点击“违规举报”。

碎片内容

吉林省长春汽车经济技术开发区六中 高二数学上学期期末考试试卷 文试卷

您可能关注的文档

确认删除?
VIP
微信客服
  • 扫码咨询
会员Q群
  • 会员专属群点击这里加入QQ群
客服邮箱
回到顶部