电脑桌面
添加小米粒文库到电脑桌面
安装后可以在桌面快捷访问

九年级数学上学期基础知识专题一 实数专题 新人教版试卷VIP免费

九年级数学上学期基础知识专题一 实数专题 新人教版试卷_第1页
1/3
九年级数学上学期基础知识专题一 实数专题 新人教版试卷_第2页
2/3
九年级数学上学期基础知识专题一 实数专题 新人教版试卷_第3页
3/3
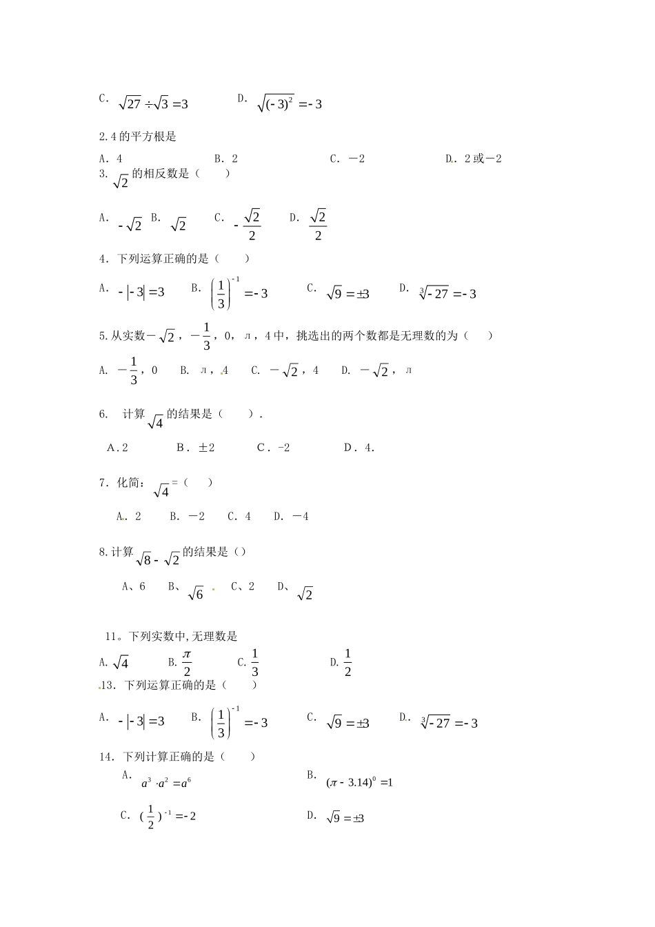
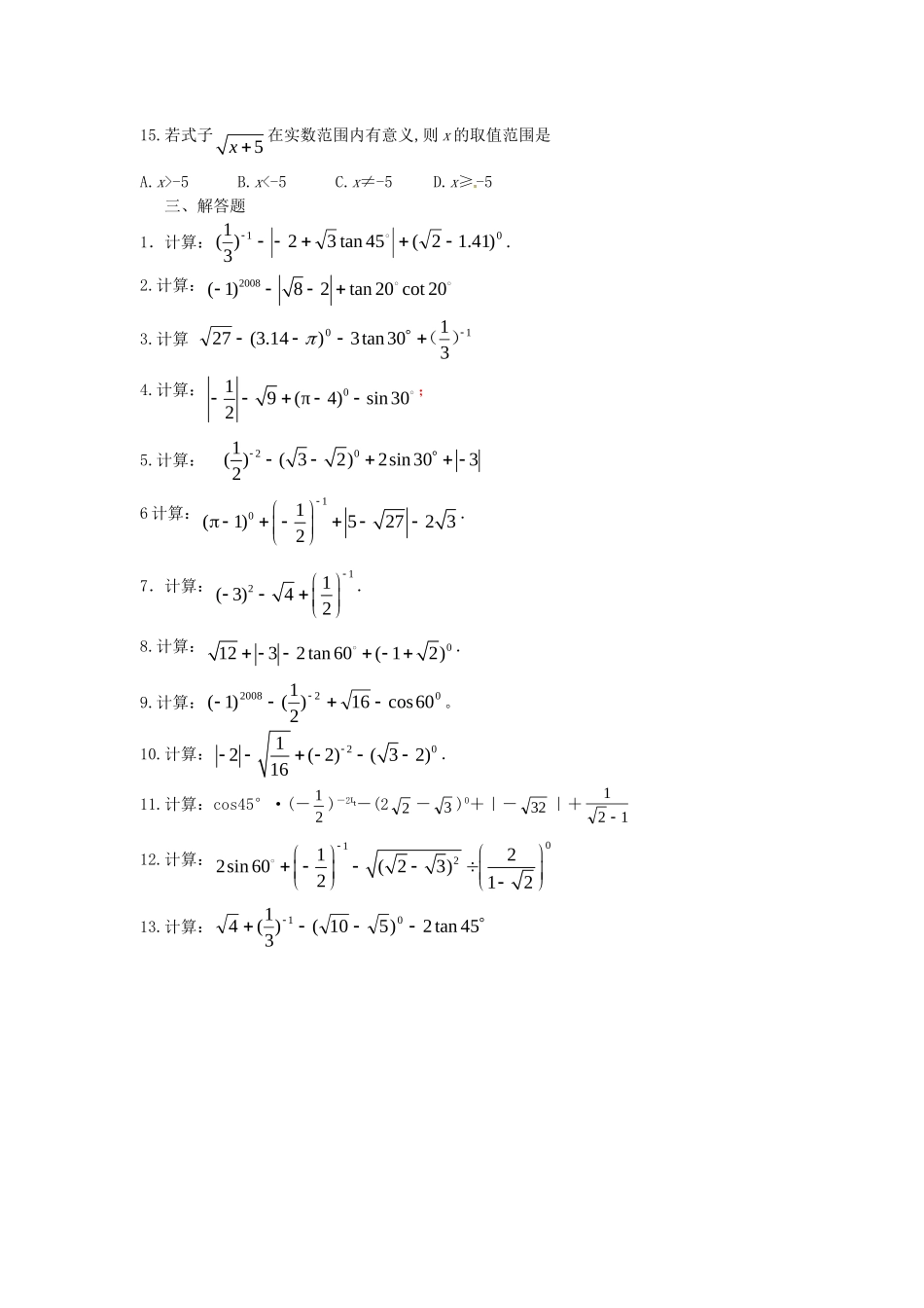
《基础知识专题一:实数专题》一、填空1.化简24=_________。2.2的平方根是()A.4B.2C.2D.23.计算123的结果是.5.比较大小:310。7.如图,在数轴上表示实数15的点可能是()A.点PB.点QC.点MD.点N8.若230ab,则2ab.9.若实数xy,满足22(3)0xy,则xy的值是.10函数3xy中,自变量x的取值范围是________11.3的倒数是12.化简:3+(5-3)=_____________.13.已知等边三角形ABC的边长为33,则ΔABC的周长是____________;14.计算9的结果是.二、选择题1.下列计算正确的是()A.234265B.84210234NMQPC.2733D.2(3)32.4的平方根是A.4B.2C.-2D.2或-23.2的相反数是()A.2B.2C.22D.224.下列运算正确的是()A.33B.1133C.93D.32735.从实数-2,-31,0,л,4中,挑选出的两个数都是无理数的为()A.-31,0B.л,4C.-2,4D.-2,л6.计算4的结果是().A.2B.±2C.-2D.4.7.化简:4=()A.2B.-2C.4D.-48.计算28的结果是()A、6B、6C、2D、211。下列实数中,无理数是A.4B.2C.13D.1213.下列运算正确的是()A.33B.1133C.93D.327314.下列计算正确的是()A.326aaaB.0(3.14)1C.11()22D.9315.若式子5x在实数范围内有意义,则x的取值范围是A.x>-5B.x<-5C.x≠-5D.x≥-5三、解答题1.计算:01)41.12(45tan32)31(.2.计算:2008(1)82tan20cot203.计算103130tan3)14.3(27)(4.计算:019(π4)sin302;5.计算:201()(32)2sin30326计算:101(1)527232.7.计算:121(3)42.8.计算:01232tan60(12).9.计算:02200860cos16)21()1(。10.计算:2012(2)(32)16.11.计算:cos45°·(-21)-2-(22-3)0+|-32|+12112.计算:012122sin60(23)21213.计算:45tan2)510()31(401

1、当您付费下载文档后,您只拥有了使用权限,并不意味着购买了版权,文档只能用于自身使用,不得用于其他商业用途(如 [转卖]进行直接盈利或[编辑后售卖]进行间接盈利)。
2、本站所有内容均由合作方或网友上传,本站不对文档的完整性、权威性及其观点立场正确性做任何保证或承诺!文档内容仅供研究参考,付费前请自行鉴别。
3、如文档内容存在违规,或者侵犯商业秘密、侵犯著作权等,请点击“违规举报”。

碎片内容

九年级数学上学期基础知识专题一 实数专题 新人教版试卷

您可能关注的文档

海博书城+ 关注
实名认证
内容提供者

从事历史教学,热爱教育,高度负责。

确认删除?
VIP
微信客服
  • 扫码咨询
会员Q群
  • 会员专属群点击这里加入QQ群
客服邮箱
回到顶部