电脑桌面
添加小米粒文库到电脑桌面
安装后可以在桌面快捷访问

安徽省泗县一中高二数学上学期开学考试试卷(PDF)答案 安徽省泗县一中高二数学上学期开学考试试卷(PDF) 安徽省泗县一中高二数学上学期开学考试试卷(PDF)VIP免费

安徽省泗县一中高二数学上学期开学考试试卷(PDF)答案 安徽省泗县一中高二数学上学期开学考试试卷(PDF) 安徽省泗县一中高二数学上学期开学考试试卷(PDF)_第1页
1/2
安徽省泗县一中高二数学上学期开学考试试卷(PDF)答案 安徽省泗县一中高二数学上学期开学考试试卷(PDF) 安徽省泗县一中高二数学上学期开学考试试卷(PDF)_第2页
2/2
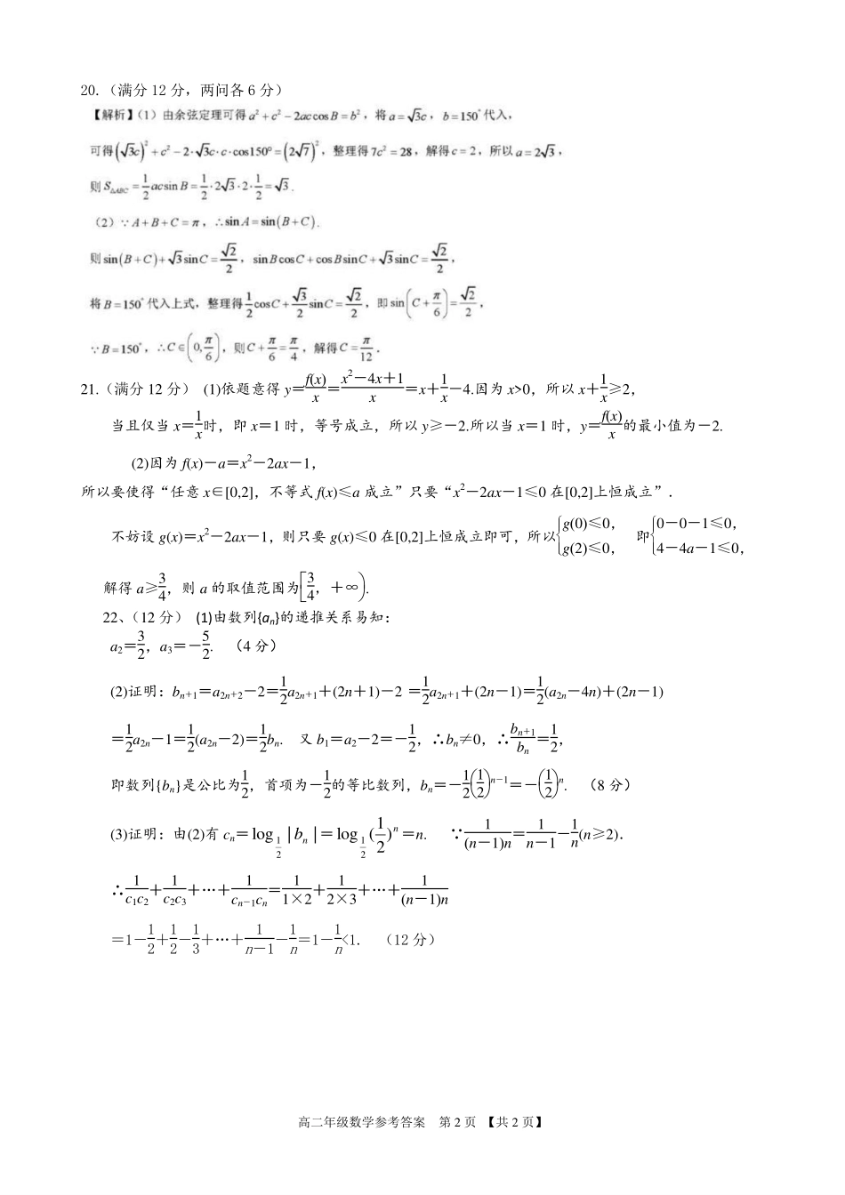
高二年级数学参考答案第1页【共2页】泗县一中2020-2021学年第二学期开学考高二年级数学参考答案一、选择题(每小题5分,共60分)123456789101112CBBAADCCCDCB二、填空题(每小题5分,共20分)13.114.3215.1416.42r三、解答题17.(满分10分)(1)f(α)=sinα·cosα·tan-α+3π2-2πtanπ2+α·sinα=sinα·cosα·-tanπ2+αtanπ2+α·sinα=-cosα.(2)∵cosα-3π2=-sinα=15,∴sinα=-15,又α是第三象限角,∴cosα=-1-sin2α=-265,故f(α)=265.(5分)18.(满分12分)(1)0.4和0.28(6分)19.(满分12分)【详解】(1)设{}na的公比为q,1a为23,aa的等差中项,212312,0,20aaaaqq,1,2qq(4分)(2)设{}nna的前n项和为nS,111,(2)nnaa,21112(2)3(2)(2)nnSn,①23121(2)2(2)3(2)(1)(2)(2)nnnSnn,②①②得,2131(2)(2)(2)(2)nnnSn1(2)1(13)(2)(2)1(2)3nnnnn,1(13)(2)9nnnS.高二年级数学参考答案第2页【共2页】20.(满分12分,两问各6分)21.(满分12分)(1)依题意得y=fxx=x2-4x+1x=x+1x-4.因为x>0,所以x+1x≥2,当且仅当x=1x时,即x=1时,等号成立,所以y≥-2.所以当x=1时,y=fxx的最小值为-2.(2)因为f(x)-a=x2-2ax-1,所以要使得“任意x∈[0,2],不等式f(x)≤a成立”只要“x2-2ax-1≤0在[0,2]上恒成立”.不妨设g(x)=x2-2ax-1,则只要g(x)≤0在[0,2]上恒成立即可,所以g0≤0,g2≤0,即0-0-1≤0,4-4a-1≤0,解得a≥34,则a的取值范围为34,+∞.22、(12分)(1)由数列{an}的递推关系易知:a2=32,a3=-52.(4分)(2)证明:bn+1=a2n+2-2=12a2n+1+(2n+1)-2[=12a2n+1+(2n-1)=12(a2n-4n)+(2n-1)=12a2n-1=12(a2n-2)=12bn.又b1=a2-2=-12,∴bn≠0,∴bn+1bn=12,即数列{bn}是公比为12,首项为-12的等比数列,bn=-1212n-1=-12n.(8分)(3)证明:由(2)有cn=||log21nb=n)21(log21=n.∵1n-1n=1n-1-1n(n≥2).∴1c1c2+1c2c3+…+1cn-1cn=11×2+12×3+…+1n-1n=1-12+12-13+…+1n-1-1n=1-1n<1.(12分)

1、当您付费下载文档后,您只拥有了使用权限,并不意味着购买了版权,文档只能用于自身使用,不得用于其他商业用途(如 [转卖]进行直接盈利或[编辑后售卖]进行间接盈利)。
2、本站所有内容均由合作方或网友上传,本站不对文档的完整性、权威性及其观点立场正确性做任何保证或承诺!文档内容仅供研究参考,付费前请自行鉴别。
3、如文档内容存在违规,或者侵犯商业秘密、侵犯著作权等,请点击“违规举报”。

碎片内容

安徽省泗县一中高二数学上学期开学考试试卷(PDF)答案 安徽省泗县一中高二数学上学期开学考试试卷(PDF) 安徽省泗县一中高二数学上学期开学考试试卷(PDF)

您可能关注的文档

确认删除?
VIP
微信客服
  • 扫码咨询
会员Q群
  • 会员专属群点击这里加入QQ群
客服邮箱
回到顶部