电脑桌面
添加小米粒文库到电脑桌面
安装后可以在桌面快捷访问

四川省乐山市届九年级数学上学期第一次月考试卷 新人教版试卷VIP免费

四川省乐山市届九年级数学上学期第一次月考试卷 新人教版试卷_第1页
1/5
四川省乐山市届九年级数学上学期第一次月考试卷 新人教版试卷_第2页
2/5
四川省乐山市届九年级数学上学期第一次月考试卷 新人教版试卷_第3页
3/5
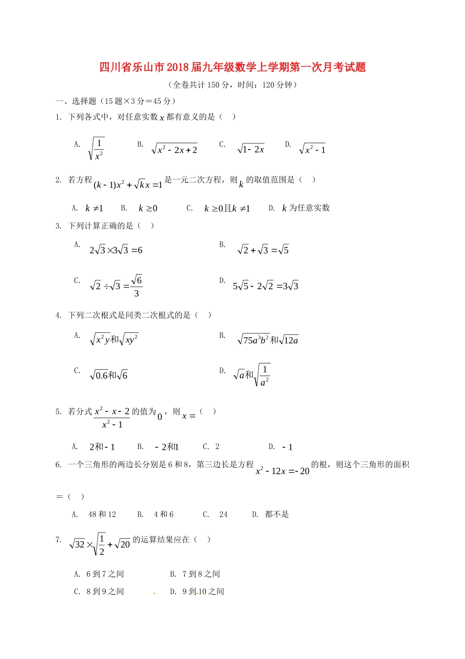
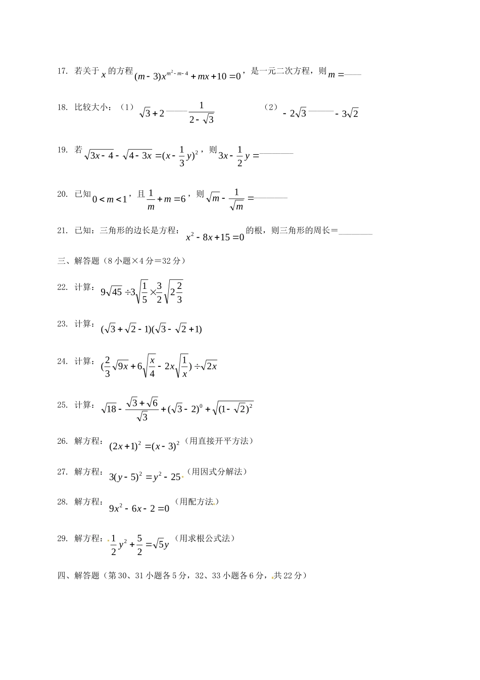
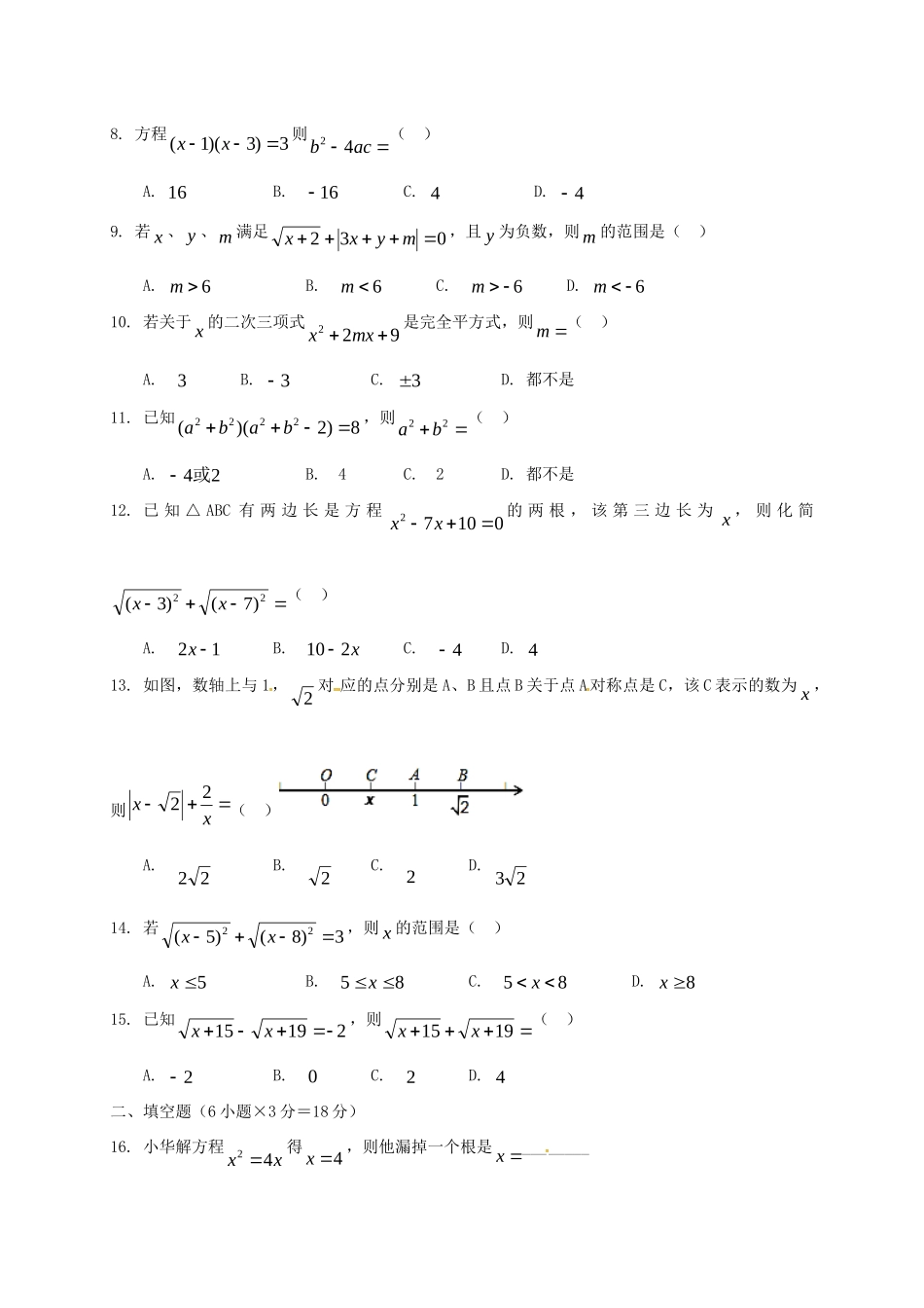
四川省乐山市2018届九年级数学上学期第一次月考试题(全卷共计150分,时间:120分钟)一、选择题(15题×3分=45分)1.下列各式中,对任意实数x都有意义的是()A.21xB.222xxC.x21D.12x2.若方程1)1(2xkxk是一元二次方程,则k的取值范围是()A.1kB.0kC.10kk且D.k为任意实数3.下列计算正确的是()A.63332B.532C.3632D.3322554.下列二次根式是同类二次根式的是()A.22xyyx和B.aba127523和C.66.0和D.21aa和5.若分式1222xxx的值为0,则x()A.12和B.12和C.2D.16.一个三角形的两边长分别是6和8,第三边长是方程20122xx的根,则这个三角形的面积=()A.48和12B.4和6C.24D.都不是7.202132的运算结果应在()A.6到7之间B.7到8之间C.8到9之间D.9到10之间8.方程3)3)(1(xx则acb42()A.16B.16C.4D.49.若x、y、m满足032myxx,且y为负数,则m的范围是()A.6mB.6mC.6mD.6m10.若关于x的二次三项式922mxx是完全平方式,则m()A.3B.3C.3D.都不是11.已知8)2)((2222baba,则22ba()A.24或B.4C.2D.都不是12.已知△ABC有两边长是方程01072xx的两根,该第三边长为x,则化简22)7()3(xx()A.12xB.x210C.4D.413.如图,数轴上与1,2对应的点分别是A、B且点B关于点A对称点是C,该C表示的数为x,则xx22()A.22B.2C.2D.2314.若3)8()5(22xx,则x的范围是()A.5xB.85xC.85xD.8x15.已知21915xx,则1915xx()A.2B.0C.2D.4二、填空题(6小题×3分=18分)16.小华解方程xx42得4x,则他漏掉一个根是x________17.若关于x的方程010)3(42mxxmmm,是一元二次方程,则m____18.比较大小:(1)23_____321(2)32______2319.若2)31(3443yxxx,则yx213________20.已知10m,且61mm,则mm1________21.已知:三角形的边长是方程:01582xx的根,则三角形的周长=________三、解答题(8小题×4分=32分)22.计算:3222351345923.计算:)123)(123(24.计算:xxxxx2)1246932(25.计算:20)21()23(3631826.解方程:22)3()12(xx(用直接开平方法)27.解方程:25)5(322yy(用因式分解法)28.解方程:02692xx(用配方法)29.解方程:yy525212(用求根公式法)四、解答题(第30、31小题各5分,32、33小题各6分,共22分)30.求不等式组)1(351)21(xxx的整数解31.已知m、n满足1684222nnmm,求方程02mnmxx的解。32.已知m是方程032xx的一个根,求代数式)13)((2mmmm的值。33.已知0166521422bbaa,求bab2的值。五、解答题(34、35、36小题各8分,37小题9分,共33分)34.已知1)32(a,求aaaaaaa22212121的值。35.已知:直角三角形周长为52,且斜边上的中线长为1,求直角三角形的面积。36.在矩形ABCD中,6AB,12BC,点P从点B开始沿AB边向点A以1个单位每秒的速度移动,点Q从点B开始沿BC边向点C以2个单位每秒的速度移动,P到A或Q到C停止移动。P、Q分别同时出发,问几秒钟时,△DPQ的面积等于8。37.阅读理解知识点1:已知:ccxx11的解是cx1cx12例如:解方程:251xx解:2121xx21x212x实战:请用以上结论解下列方程:(1)231xx(2分)(2)1212ccxx(2分)知识点2:为解方程0)1(3)1(222xx,我们可以把12x看作一个整体,然后令yx12,则222)1(yx,∴原方程可化为:032yy解得01y,32y当01y时,012x∴1x即11x12x当32y时,312x∴2x即23x24x∴原方程的解为:11x,12x,23x,24x以上解法,叫换元法。请用以上方法解答下列问题:问题1:方程02)1(122xxxx若设yxx1,则原方程可化为_____,且关于y方程的解为____(2分)问题2:用换元法解:112122xxxx(3分)

1、当您付费下载文档后,您只拥有了使用权限,并不意味着购买了版权,文档只能用于自身使用,不得用于其他商业用途(如 [转卖]进行直接盈利或[编辑后售卖]进行间接盈利)。
2、本站所有内容均由合作方或网友上传,本站不对文档的完整性、权威性及其观点立场正确性做任何保证或承诺!文档内容仅供研究参考,付费前请自行鉴别。
3、如文档内容存在违规,或者侵犯商业秘密、侵犯著作权等,请点击“违规举报”。

碎片内容

四川省乐山市届九年级数学上学期第一次月考试卷 新人教版试卷

您可能关注的文档

远洋启航书店+ 关注
实名认证
内容提供者

从事历史教学,热爱教育,高度负责。

确认删除?
VIP
微信客服
  • 扫码咨询
会员Q群
  • 会员专属群点击这里加入QQ群
客服邮箱
回到顶部