电脑桌面
添加小米粒文库到电脑桌面
安装后可以在桌面快捷访问

人口普查常住人口排名前城VIP免费

人口普查常住人口排名前城_第1页
1/3
人口普查常住人口排名前城_第2页
2/3
人口普查常住人口排名前城_第3页
3/3
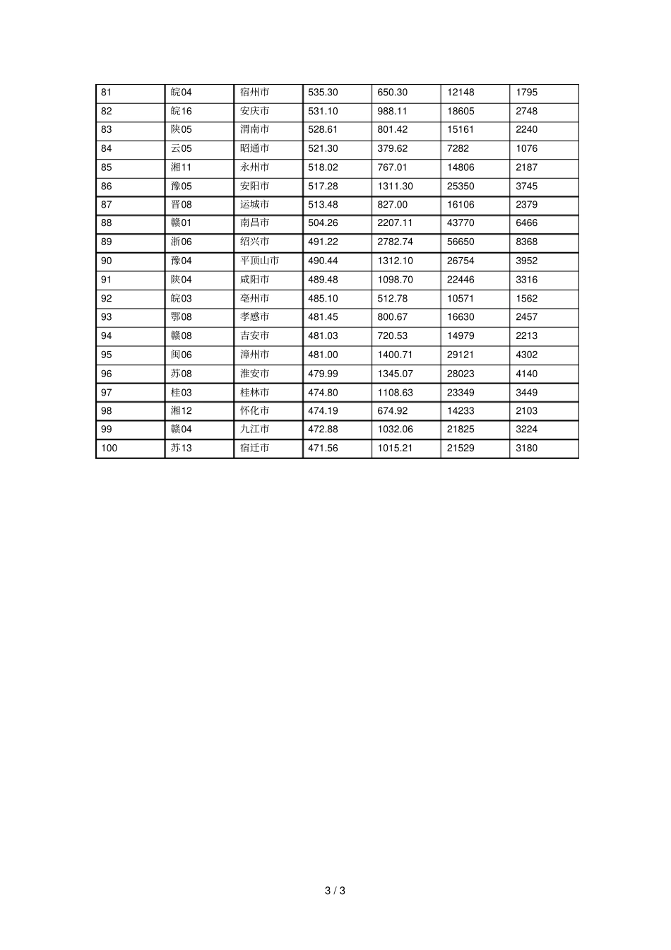
1/32010人口普查常住人口排名前100城市排名省市代号城市或地区人口(万人)GDP(亿元)人均GDP(元/人)人均折美元(元/人)1渝00重庆市2884.627894.242736740432沪00上海市2301.9116872.4273297108283京00北京市1961.2413777.9070251103784川01成都市1404.765551.303951858385津00天津市1293.829108.8370402104006粤01广州市1270.0810604.4883495123347冀06保定市1119.442050.301831527068黑01哈尔滨市1063.603665.903446750929苏05苏州市1046.609000.00859931270310粤02深圳市1035.799510.91918221356411豫13南阳市1026.301955.8419057281512冀01石家庄市1016.383401.0033462494313鲁13临沂市1003.942400.0023906353114鄂01武汉市978.545515.7656367832715冀04邯郸市917.472342.2025529377116浙03温州市912.212925.5732071473817鲁07潍坊市908.623090.9034018502518豫16周口市895.321227.9013715202619鲁02青岛市871.515666.1965016960420浙01杭州市870.045945.82683401009521豫01郑州市862.654000.0046369685022苏03徐州市858.052866.9333412493623陕01西安市846.783241.4938280565524赣07赣州市836.841119.4713377197625鲁17菏泽市828.781151.5813895205326粤11东莞市822.024246.2551656763127闽05泉州市812.853564.7643855647828辽01沈阳市810.625017.0061891914329鲁08济宁市808.192542.8031463464830苏01南京市800.475010.3662593924631吉01长春市767.713369.7043893648432浙02宁波市760.575125.8267394995633皖06阜阳市760.00720.009474139934冀02唐山市757.734469.0858980871335豫14商丘市736.251140.0015484228736苏06南通市728.283417.8846931693337苏09盐城市726.022266.2631215461138豫17驻马店市723.071055.4514597215639粤05佛山市719.435651.5278555116042/340湘04衡阳市714.151420.3419889293841冀09沧州市713.412203.0030880456242闽01福州市711.543068.2143121637043冀05邢台市710.411210.6217041251744湘05邵阳市707.18730.3310327152645湘01长沙市704.414547.0664551953646粤15湛江市699.331402.7720059296347鲁06烟台市696.824358.4662548924048鲁01济南市681.403910.8057394847849辽02大连市669.045158.10770971138950桂01南宁市666.161800.4327027399251赣11上饶市657.97901.0013694202352豫03洛阳市654.952321.2035441523553贵07毕节地区653.64600.859192135854云01昆明市643.202120.3732966487055苏02无锡市637.265758.00903551334756川11南充市627.86827.8213185194857鄂10黄冈市616.21862.3013994206758贵03遵义市612.70908.7614832219159豫15信阳市610.871092.2317880264160浙10台州市596.882415.1240462597761粤20揭阳市587.701008.9917168253662云03曲靖市585.501005.5017173253763粤16茂名市581.781492.0925647378964鲁15聊城市578.991606.5127747409965湘07常德市571.721491.6026090385466豫07新乡市570.781181.4520699305867皖01合肥市570.202702.5047396700168鄂09荆州市569.17837.1014707217369皖09六安市561.20676.1012047178070鲁14德州市556.821657.8229773439871鄂05襄阳市550.031538.3027968413172鲁09泰安市549.422051.7037343551673桂09玉林市548.74835.8215232225074湘06岳阳市547.791539.3628101415175川15达州市546.81819.2014981221376赣09宜春市541.96870.0016053237177黑12绥化市541.64733.4013540200078粤04汕头市539.101203.2522319329779黑02齐齐哈尔市536.70852.6015886234780浙07金华市536.162094.703906957713/381皖04宿州市535.30650.3012148179582皖16安庆市531.10988.1118605274883陕05渭南市528.61801.4215161224084云05昭通市521.30379.627282107685湘11永州市518.02767.0114806218786豫05安阳市517.281311.3025350374587晋08运城市513.48827.0016106237988赣01南昌市504.262207.1143770646689浙06绍兴市491.222782.7456650836890豫04平顶山市490.441312.1026754395291陕04咸阳市489.481098.7022446331692皖03亳州市485.10512.7810571156293鄂08孝感市481.45800.6716630245794赣08吉安市481.03720.5314979221395闽06漳州市481.001400.7129121430296苏08淮安市479.991345.0728023414097桂03桂林市474.801108.6323349344998湘12怀化市474.19674.9214233210399赣04九江市472.881032.06218253224100苏13宿迁市471.561015.21215293180

1、当您付费下载文档后,您只拥有了使用权限,并不意味着购买了版权,文档只能用于自身使用,不得用于其他商业用途(如 [转卖]进行直接盈利或[编辑后售卖]进行间接盈利)。
2、本站所有内容均由合作方或网友上传,本站不对文档的完整性、权威性及其观点立场正确性做任何保证或承诺!文档内容仅供研究参考,付费前请自行鉴别。
3、如文档内容存在违规,或者侵犯商业秘密、侵犯著作权等,请点击“违规举报”。

碎片内容

人口普查常住人口排名前城

爱的疯狂+ 关注
实名认证
内容提供者

该用户很懒,什么也没介绍

确认删除?
VIP
微信客服
  • 扫码咨询
会员Q群
  • 会员专属群点击这里加入QQ群
客服邮箱
回到顶部