电脑桌面
添加小米粒文库到电脑桌面
安装后可以在桌面快捷访问

高二数学 复数综合训练试卷VIP免费

高二数学 复数综合训练试卷_第1页
1/3
高二数学 复数综合训练试卷_第2页
2/3
高二数学 复数综合训练试卷_第3页
3/3
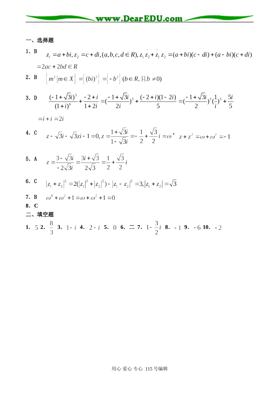
高二数学复数综合训练[综合训练B组]一、选择题1.若是().A.纯虚数B.实数C.虚数D.不能确定2.若有分别表示正实数集,负实数集,纯虚数集,则集合=().A.B.C.D.3.的值是().A.B.C.D.4.若复数满足,则的值等于()A.B.C.D.5.已知,那么复数在平面内对应的点位于()A.第一象限B.第二象限C.第三象限D.第四象限6.已知,则等于()A.B.C.D.7.若,则等于()A.B.C.D.8.给出下列命题(1)实数的共轭复数一定是实数;(2)满足的复数的轨迹是椭圆;用心爱心专心115号编辑(3)若,则其中正确命题的序号是()A.B.C.D.二、填空题1.若,其中、,使虚数单位,则_________。2.若,,且为纯虚数,则实数的值为.3.复数的共轭复数是_________。4.计算__________。5.复数的值是___________。6.复数在复平面内,所对应的点在第________象限。7.已知复数复数则复数__________.8.计算______________。9.若复数(,为虚数单位位)是纯虚数,则实数的值为___________。10.设复数若为实数,则_____________参考答案用心爱心专心115号编辑一、选择题1.B2.B3.D4.C,5.A6.C7.B8.C二、填空题1.2.3.4.5.6.二7.8.9.10.用心爱心专心115号编辑

1、当您付费下载文档后,您只拥有了使用权限,并不意味着购买了版权,文档只能用于自身使用,不得用于其他商业用途(如 [转卖]进行直接盈利或[编辑后售卖]进行间接盈利)。
2、本站所有内容均由合作方或网友上传,本站不对文档的完整性、权威性及其观点立场正确性做任何保证或承诺!文档内容仅供研究参考,付费前请自行鉴别。
3、如文档内容存在违规,或者侵犯商业秘密、侵犯著作权等,请点击“违规举报”。

碎片内容

高二数学 复数综合训练试卷

海博书城+ 关注
实名认证
内容提供者

从事历史教学,热爱教育,高度负责。

确认删除?
VIP
微信客服
  • 扫码咨询
会员Q群
  • 会员专属群点击这里加入QQ群
客服邮箱
回到顶部