电脑桌面
添加小米粒文库到电脑桌面
安装后可以在桌面快捷访问

山东省德州市 高二数学下学期期末考试试卷 文 试卷VIP免费

山东省德州市 高二数学下学期期末考试试卷 文 试卷_第1页
1/12
山东省德州市 高二数学下学期期末考试试卷 文 试卷_第2页
2/12
山东省德州市 高二数学下学期期末考试试卷 文 试卷_第3页
3/12
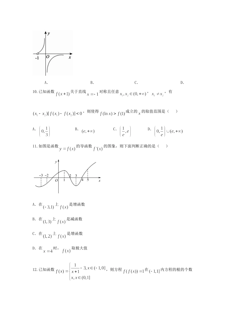
山东省德州市2017-2018学年高二数学下学期期末考试试题文第Ⅰ卷(共60分)一、选择题(本大题共12个小题,每小题5分,共60分.在每小题给出的四个选项中,只有一项是符合题目要求的)1.已知集合,,则()A.B.C.D.2.命题“都有”的否定为()A.使得B.使得C.使得D.使得3.已知,则复数()A.B.C.D.4.已知函数定义域是,记函数,则的定义域是()A.B.C.D.5.用反证法证明命题“已知函数在上单调,则在上至多有一个零点”时,要做的假设是()A.在上没有零点B.在上至少有一个零点C.在上恰好有两个零点D.在上至少有两个零点6.已知,,,则()A.B.C.D.7.已知曲线在点处的切线平行于直线,那么点的坐标为()A.或B.或C.D.8.某研究性学习小组调查研究学生玩手机对学习的影响,部分统计数据如表玩手机不玩手机合计学习成绩优秀4812学习成绩不优秀16218合计201030经计算的值,则有()的把握认为玩手机对学习有影响.A.B.C.D.附:,.0.150.100.050.0250.0100.0050.0012.0722.7063.8415.0246.6357.87910.8289.已知函数,则的图象大致为()A.B.C.D.10.已知函数关于直线对称且任意,,有,则使得成立的的取值范围是()A.B.C.D.11.如图是函数的导函数的图象,则下面判断正确的是()A.在上是增函数B.在上是减函数C.在上是增函数D.在时,取极大值12.已知函数,则方程在内方程的根的个数是()A.0B.1C.2D.3第Ⅱ卷(共90分)二、填空题(每小题5分,共计20分)13.已知幂函数,当时为增函数,则.14.甲、乙、丙三位同学被问到是参加了学校组织的、、三个活动兴趣小组时,甲说:我参加的兴趣小组比乙多,但没参加过兴趣小组;乙说:我没参加过兴趣小组;丙说:我们三人参加了同一兴趣小组;由此可判断乙参加的兴趣小组为.15.函数,若,则的值为.16.对于函数,若存在区间,当时,的值域为,则称为倍值函数.下列函数为2倍值函数的是(填上所有正确的序号).①②③④三、解答题(共70分.解答应写出文字说明、证明过程或演算步骤.)17.已知,,为实数.(Ⅰ)若,求;(Ⅱ)若,求实数,的值.18.已知集合,,命题:,命题:.(Ⅰ)当时,若是的必要条件,求实数的取值范围;(Ⅱ)若,求实数的取值范围.19.已知函数.(Ⅰ)若在处取得极值,求的单调递减区间;(Ⅱ)若在区间内有极大值和极小值,求实数的取值范围.20.为了鼓励市民节约用电,实行“阶梯式”电价,某边远山区每户居民月用电量划分为三档:月用电量不超过150度,按0.6元/度收费,超过150度但不超过250度的部分每度加价0.1元,超过250度的部分每度再加价0.3元收费.(Ⅰ)求该边远山区某户居民月用电费用(单位:元)关于月用电量(单位:度)的函数解析式;(Ⅱ)已知该边远山区贫困户的月用电量(单位:度)与该户长期居住的人口数(单位:人)间近似地满足线性相关关系:(的值精确到整数),其数据如表:14151718161168191200现政府为减轻贫困家庭的经济负担,计划对该边远山区的贫困家庭进行一定的经济补偿,给出两种补偿方案供选择:一是根据该家庭人数,每人每户月补偿6元;二是根据用电量每人每月补偿(为用电量)元,请根据家庭人数分析,一个贫困家庭选择哪种补偿方式可以获得更多的补偿?附:回归直线中斜率和截距的最小二乘法估计公式分别为:,.参考数据:,,,,,,,,.21.已知函数在点处的切线与直线垂直.(Ⅰ)求函数的极值;(Ⅱ)若在上恒成立,求实数的取值范围.22.选修4-4:坐标系与参数方程在平面直角坐标系中,直线的参数方程为(为参数,),以坐标原点为极点,轴正半轴为极轴建立极坐标系,曲线的极坐标方程为.(Ⅰ)求直线的普通方程与曲线的直角坐标方程;(Ⅱ)若直线与曲线交于、两点,求的最小值.23.选修4-5:不等式选讲已知函数,.(Ⅰ)若恒成立,求的取值范围;(Ⅱ)已知,若使成立,求实数的取值范围.高二数学(文科)试题参考答案一、选择题1-5:BBACD6-10:ABCBC11、12:CD二、填空题13.114.15.0或116.①②④三、解答题17.解:(Ⅰ) ,∴.∴,∴;(Ⅱ) ,∴.∴,解得,∴,的值为:-3,2.18.解:(Ⅰ)由,当时,,∴:或, 是的必要条件,即是...

1、当您付费下载文档后,您只拥有了使用权限,并不意味着购买了版权,文档只能用于自身使用,不得用于其他商业用途(如 [转卖]进行直接盈利或[编辑后售卖]进行间接盈利)。
2、本站所有内容均由合作方或网友上传,本站不对文档的完整性、权威性及其观点立场正确性做任何保证或承诺!文档内容仅供研究参考,付费前请自行鉴别。
3、如文档内容存在违规,或者侵犯商业秘密、侵犯著作权等,请点击“违规举报”。

碎片内容

山东省德州市 高二数学下学期期末考试试卷 文 试卷

您可能关注的文档

确认删除?
VIP
微信客服
  • 扫码咨询
会员Q群
  • 会员专属群点击这里加入QQ群
客服邮箱
回到顶部