电脑桌面
添加小米粒文库到电脑桌面
安装后可以在桌面快捷访问

高二数学专题讲座——分类讨论 知识精讲 人教版VIP免费

高二数学专题讲座——分类讨论 知识精讲 人教版_第1页
1/7
高二数学专题讲座——分类讨论 知识精讲 人教版_第2页
2/7
高二数学专题讲座——分类讨论 知识精讲 人教版_第3页
3/7
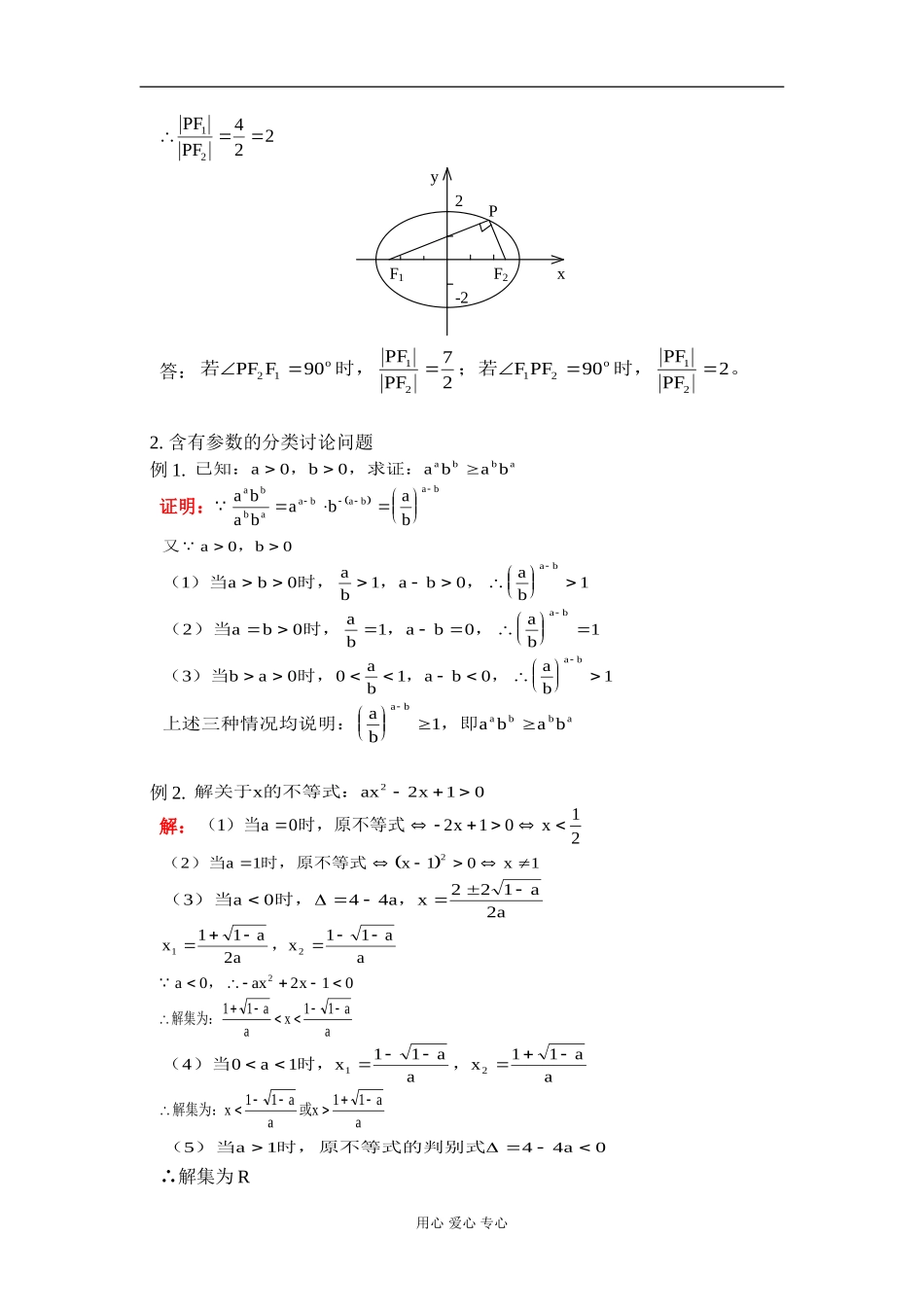
高二数学专题讲座——分类讨论知识精讲人教版一.本周教学内容:专题讲座——分类讨论(一)学习指导在解(或证)某些数学问题时,往往会由问题的不同情况而采取不同的转化方法,或得出不同的结论。因而这类数学问题的求解就必须“分类讨论”,这与我们日常工作中,要特别注意“分别情况区别对待”是完全一致的。(二)何时需要分类讨论1.某种运算可否实施情况不定:如:取对数时,真数大于零,底数大于零且不等于1的条件得不到保证,……2.式子变形的条件能否具备情况不定:如:不等式两边同乘(或除)一个数的正、负不定时,……3.函数的某种性质定理具备情况不定:如:指数函数与对数函数由于底a的取值范围不定而导致的函数的增、减不定,……4.解析几何中,曲线方程的类型不定。(三)分类讨论遵循“不重不漏”的基本原则1.对每一个基本公式、基本性质的适用范围,对每一种运算实施的条件,都能准确地把握。2.思考问题时,切忌极端和片面,力争统观全局。3.在分类讨论的全过程中,要坚持同一个分类的标准。(四)分类讨论的类型题()不含参数的讨论问题;()含有参数的讨论问题。12【典型例题】1.不含有参数的讨论问题例1.解不等式:logxxx58322解:loglogxxxxx5832201583058315830583222222xxxxxxxxxxxx或123532xx或原不等式的解集为或xxx|123532用心爱心专心例2.解不等式:xx311分析:此题要按零点分类去掉绝对值符号-13x零点为和xx13∴应该分三类求解()当时,1113111xxxxx()当时,213133111312123xxxxxxx()当时,3333113413xxxxxx综上,原不等式的解集为:,12例3.设、为椭圆的两个焦点,为椭圆上的点,已知、、FFxyPPFF122212941是一个直角三角形的三个顶点,且,求的值。PFPFPFPF1212分析:因P、F1、F2是一直角三角形的三个顶点,且|PF1|>|PF2|,则直角顶点有两种可能性,点F2或点P,故有两解。解:椭圆方程为xy22941abc325,,PFPFaFFc121226225,PF1F2x()当时,设,则19062112PFFPFxPFxoxxx22206143PFPF1214343,PFPF1272()当时,设,29061212FPFPFxPFxoxxxx22262542或(舍)PFPF1242,用心爱心专心PFPF12422y2F1F2x-2P答:若时,;若时,。PFFPFPFFPFPFPFoo2112121290729022.含有参数的分类讨论问题例1.已知:,,求证:ababababba00证明:abababababbaababab又,ab00()当时,,,10101ababababab()当时,,,20101ababababab()当时,,,300101baabababab上述三种情况均说明:,即abababababba1例2.解关于的不等式:xaxx2210解:()当时,原不等式1021012axx()当时,原不等式211012axx()当时,,30442212aaxaaxaaxaa1211211,aaxx02102,解集为:1111aaxaa()当时,,401111112axaaxaa解集为:或xaaxaa1111()当时,原不等式的判别式51440aa∴解集为R用心爱心专心综上,原不等式的解集为:()当时,101111axaaxaa()当时,2012axx()当时,或3011111axxaaxaa()当时,411axx()当时,51aR例3.解关于的不等式:xxaxaaR20()解:xaxaxaxa2200要求出这个一元二次不等式的解就必须先比较a2与a的大小,a2-a=a(a-1)()当或时1010012aaaaaa原不等式的解集为:xaxa|2()...

1、当您付费下载文档后,您只拥有了使用权限,并不意味着购买了版权,文档只能用于自身使用,不得用于其他商业用途(如 [转卖]进行直接盈利或[编辑后售卖]进行间接盈利)。
2、本站所有内容均由合作方或网友上传,本站不对文档的完整性、权威性及其观点立场正确性做任何保证或承诺!文档内容仅供研究参考,付费前请自行鉴别。
3、如文档内容存在违规,或者侵犯商业秘密、侵犯著作权等,请点击“违规举报”。

碎片内容

高二数学专题讲座——分类讨论 知识精讲 人教版

确认删除?
VIP
微信客服
  • 扫码咨询
会员Q群
  • 会员专属群点击这里加入QQ群
客服邮箱
回到顶部