电脑桌面
添加小米粒文库到电脑桌面
安装后可以在桌面快捷访问

吉林省吉林市第一中学校高中数学 2.4.1平面向量的数量积的物理背景及其含义练习 新人教A版必修4VIP免费

吉林省吉林市第一中学校高中数学 2.4.1平面向量的数量积的物理背景及其含义练习 新人教A版必修4_第1页
1/4
吉林省吉林市第一中学校高中数学 2.4.1平面向量的数量积的物理背景及其含义练习 新人教A版必修4_第2页
2/4
吉林省吉林市第一中学校高中数学 2.4.1平面向量的数量积的物理背景及其含义练习 新人教A版必修4_第3页
3/4
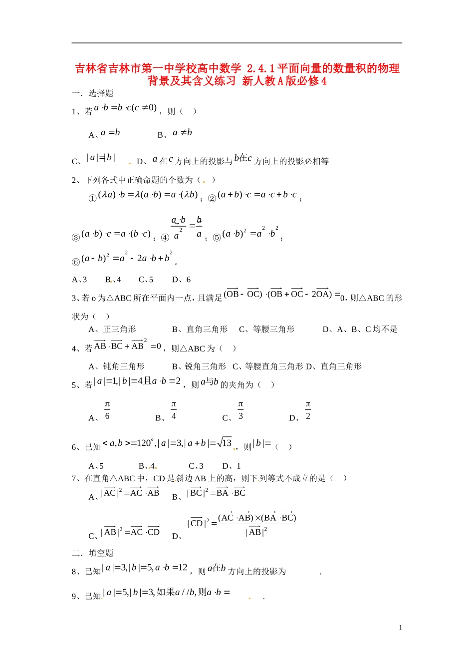
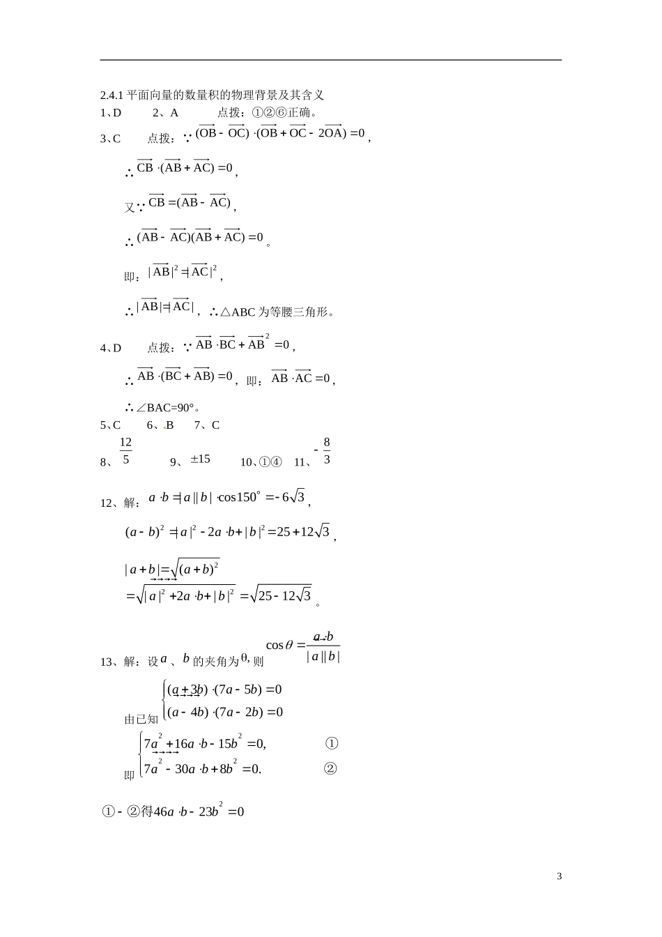
吉林省吉林市第一中学校高中数学2.4.1平面向量的数量积的物理背景及其含义练习新人教A版必修4一.选择题1、若(0)abbcc,则()A、abB、abC、||||abD、a在c方向上的投影与bc在方向上的投影必相等2、下列各式中正确命题的个数为()①()()()ababab;②()abcacbc;③()()abcabc;④2abbaa;⑤222()abab;⑥222()2abaabb。A、3B、4C、5D、63、若o为△ABC所在平面内一点,且满足)OA2OCOB()OCOB(0,则△ABC的形状为()A、正三角形B、直角三角形C、等腰三角形D、A、B、C均不是4、若0ABBCAB2,则△ABC为()A、钝角三角形B、锐角三角形C、等腰直角三角形D、直角三角形5、若||1,||42abab且,则ab与的夹角为()A、6B、4C、3D、26、已知,120,||3,||13abaab,则||b()A、5B、4C、3D、17、在直角△ABC中,CD是斜边AB上的高,则下列等式不成立的是()A、ABAC|AC|2B、BCBA|BC|2C、CDAC|AB|2D、22|AB|)BCBA()ABAC(|CD|二.填空题8、已知||3,||5,12abab,则ab在方向上的投影为.9、已知||5,||3,//,ababab如果则.110、下列给出了四个命题:①0abab;②若00,0abab且则;③若0,0,||||||ababab则;④当ab与反向时,||||abab,其中正确的是.11、如图2—4—1在△ABC中,∠BAC=120°,AB=2,AC=1,D是BC边上一点,DC=2BD,则BCAD。三.解答题12、已知||3,||4,abab与的夹角为150°,求2,(),||ababab的值。13、已知a、b都是非零向量,且375,472abababab与垂直与垂直,求a与b的夹角。14、求证△ABC的三条高线交于一点。15设两向量1e、2e,满足121||2,||1,eee、2e的夹角为60°,若向量1227tee与向量12ete的夹角为钝角,求实数t的取值范围。16、设a、b为两个互相垂直的单位向量,是否存在整数k使向量mkab�与nakb的夹角为60°,若存在,求出k的值;若不存在,说明理由。22.4.1平面向量的数量积的物理背景及其含义1、D2、A点拨:①②⑥正确。3、C点拨: 0)OA2OCOB()OCOB(,∴0)ACAB(CB,又 )ACAB(CB,∴0)ACAB)(ACAB(。即:22|AC||AB|,∴|AC||AB|,∴△ABC为等腰三角形。4、D点拨: 0ABBCAB2,∴0)ABBC(AB,即:0ACAB,∴∠BAC=90°。5、C6、B7、C8、5129、1510、①④1...

1、当您付费下载文档后,您只拥有了使用权限,并不意味着购买了版权,文档只能用于自身使用,不得用于其他商业用途(如 [转卖]进行直接盈利或[编辑后售卖]进行间接盈利)。
2、本站所有内容均由合作方或网友上传,本站不对文档的完整性、权威性及其观点立场正确性做任何保证或承诺!文档内容仅供研究参考,付费前请自行鉴别。
3、如文档内容存在违规,或者侵犯商业秘密、侵犯著作权等,请点击“违规举报”。

碎片内容

吉林省吉林市第一中学校高中数学 2.4.1平面向量的数量积的物理背景及其含义练习 新人教A版必修4

确认删除?
VIP
微信客服
  • 扫码咨询
会员Q群
  • 会员专属群点击这里加入QQ群
客服邮箱
回到顶部