电脑桌面
添加小米粒文库到电脑桌面
安装后可以在桌面快捷访问

山西省忻州一中高二数学下学期期中试卷 文(PDF)答案 山西省忻州一中高二数学下学期期中试卷 文(PDF) 山西省忻州一中高二数学下学期期中试卷 文(PDF)VIP免费

山西省忻州一中高二数学下学期期中试卷 文(PDF)答案 山西省忻州一中高二数学下学期期中试卷 文(PDF) 山西省忻州一中高二数学下学期期中试卷 文(PDF)_第1页
1/4
山西省忻州一中高二数学下学期期中试卷 文(PDF)答案 山西省忻州一中高二数学下学期期中试卷 文(PDF) 山西省忻州一中高二数学下学期期中试卷 文(PDF)_第2页
2/4
山西省忻州一中高二数学下学期期中试卷 文(PDF)答案 山西省忻州一中高二数学下学期期中试卷 文(PDF) 山西省忻州一中高二数学下学期期中试卷 文(PDF)_第3页
3/4
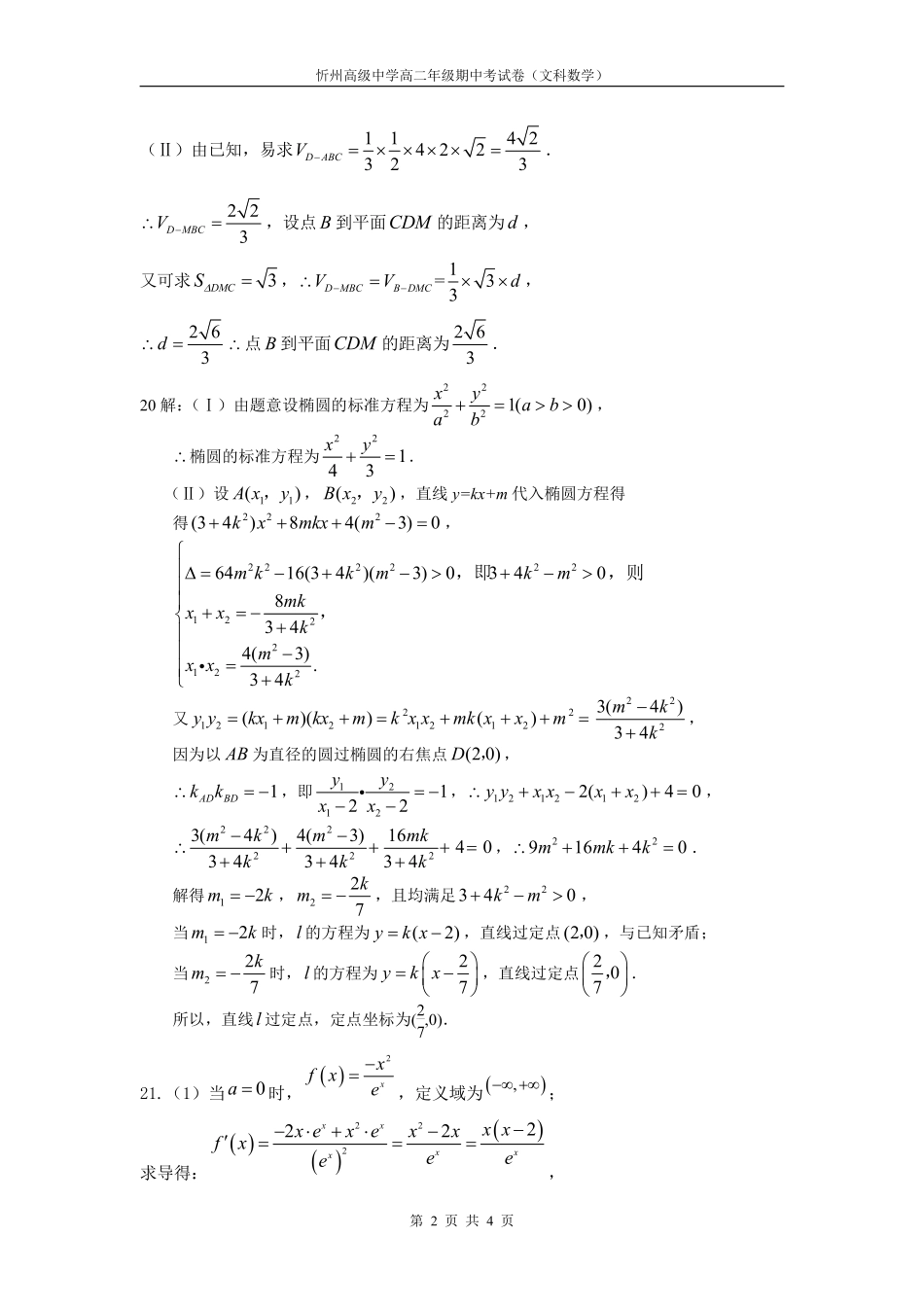
忻州高级中学高二年级期中考试卷(文科数学)第1页共4页2019—2020学年度第二学期中文科数学参考答案一选择题题号123456789101112答案CBCCBAACCCBD二填空题13.3214.22315.31616等腰三角形三解答题17.(1)∵1341,,aaa构成公比不等于1的等比数列∴13124aaa,设数列na的公差为d,由题意得:)12(33510511211daadada解得231da或071da当0d时,1341aaa,数列1341,,aaa的公比等于1,不合题意,舍去,即12nan(2)由(1)得2211nndnnnaSn∴nb21nn=21121nn∴2111214321nnbbbTnn18.(1)将22列联表中的数据代入公式计算得2100(45153010)3.033.84125755545k所以在犯错误的概率不超过0.05的前提下不能认为是否是“动物保护关注者”与性别有关.(2)由题意知,利用分层抽样的方法可得男“动物保护达人”4人,女“动物保护达人”2人.设男“动物保护达人”4人分别为A,B,C,D;女“动物保护达人”2人为E,F.从中抽取两人的所有情况为AB,AC,AD,AE,AF,BC,BD,BE,BF,CD,CE,CF,DE,DF,EF共15种情况.既有男“动物保护达人”又有女“动物保护达人”的情况有AE,AF,BE,BF,CE,CF,DE,DF共8种情况.所求概率158p.19.(Ⅰ)证明:由已知可得:22AC,45CAB,由余弦定理8CB从而222ACBCAB,ACBC平面ADC平面ABC,平面ADC平面ABCACBC平面ACD.忻州高级中学高二年级期中考试卷(文科数学)第2页共4页(Ⅱ)由已知,易求1142422323DABCV.223DMBCV,设点B到平面CDM的距离为d,又可求3DMCS,1=33DMBCBDMCVVd,263d点B到平面CDM的距离为263.20解:(Ⅰ)由题意设椭圆的标准方程为22221(0)xyabab,椭圆的标准方程为22143xy.(Ⅱ)设11()Axy,,22()Bxy,,直线y=kx+m代入椭圆方程得得222(34)84(3)0kxmkxm,22222212221226416(34)(3)03408344(3).34mkkmkmmkxxkmxxk,即,则,又22221212121223(4)()()()34mkyykxmkxmkxxmkxxmk,因为以AB为直径的圆过椭圆的右焦点(20)D,,1ADBDkk,即1212122yyxx,1212122()40yyxxxx,2222223(4)4(3)1640343434mkmmkkkk,2291640mmkk.解得12mk,227km,且均满足22340km,当12mk时,l的方程为(2)ykx,直线过定点(20),,与已知矛盾;当227km时,l的方程为27ykx,直线过定点207,.所以,直线l过定点,定点坐标为(27,0).21.(1)当0a时,2xxfxe,定义域为,;求导得:222222xxxxxxxxexexxfxeee,忻州高级中学高二年级期中考试卷(文科数学)第3页共4页方程0fx的根为0x或2x,列表得:x0x0x02x2x2xfx00fx极大值极小值由上表可以00fxf极大值,242fxfe极小值.(2)222112eexxaxfxax,由条件知,22exax对1x恒成立.令2exgxx,2exhxgxx,2exhx.当1,x时,2e2e0xhx,2exhxgxx在1,上单调递减,2e2e0xhxx,即0gx,2exgxx在1,上单调递减,2e11exgxxg,则若1fx在1,上恒成立,则需max21eagx,1e2a,即实数a的取值范围是1e,2.22.(1)因为曲线C的参数方程为244xkyk(k为参数),所以消去参数k,忻州高级中学高二年级期中考试卷(文科数学)第4页共4页得曲线C的普通方程为24yx因为直线l的极坐标方程为cos13,即cos3sin2,所以直线l的普通方程为320xy(2)因为直线l经过点20P(,),所以得到直线l的参数方程为32212xtyt(t为参数)设112231312,,2,2222AttBtt,把直线l的参数方程代入曲线C的普通方程,得283320tt,则121283,320tttt,故1212||||||||||||83PAPBtttt

1、当您付费下载文档后,您只拥有了使用权限,并不意味着购买了版权,文档只能用于自身使用,不得用于其他商业用途(如 [转卖]进行直接盈利或[编辑后售卖]进行间接盈利)。
2、本站所有内容均由合作方或网友上传,本站不对文档的完整性、权威性及其观点立场正确性做任何保证或承诺!文档内容仅供研究参考,付费前请自行鉴别。
3、如文档内容存在违规,或者侵犯商业秘密、侵犯著作权等,请点击“违规举报”。

碎片内容

山西省忻州一中高二数学下学期期中试卷 文(PDF)答案 山西省忻州一中高二数学下学期期中试卷 文(PDF) 山西省忻州一中高二数学下学期期中试卷 文(PDF)

星河书苑+ 关注
实名认证
内容提供者

从事历史教学,热爱教育,高度负责。

确认删除?
VIP
微信客服
  • 扫码咨询
会员Q群
  • 会员专属群点击这里加入QQ群
客服邮箱
回到顶部