电脑桌面
添加小米粒文库到电脑桌面
安装后可以在桌面快捷访问

四川省绵阳市高三数学第三次诊断性考试试卷 文答案 四川省绵阳市届高三数学第三次诊断性考试试卷 文 四川省绵阳市届高三数学第三次诊断性考试试卷 文VIP免费

四川省绵阳市高三数学第三次诊断性考试试卷 文答案 四川省绵阳市届高三数学第三次诊断性考试试卷 文 四川省绵阳市届高三数学第三次诊断性考试试卷 文_第1页
1/5
四川省绵阳市高三数学第三次诊断性考试试卷 文答案 四川省绵阳市届高三数学第三次诊断性考试试卷 文 四川省绵阳市届高三数学第三次诊断性考试试卷 文_第2页
2/5
四川省绵阳市高三数学第三次诊断性考试试卷 文答案 四川省绵阳市届高三数学第三次诊断性考试试卷 文 四川省绵阳市届高三数学第三次诊断性考试试卷 文_第3页
3/5
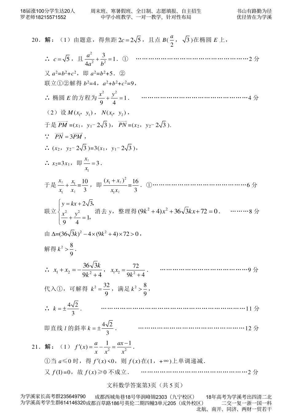
文科数学答案第1页(共5页)绵阳市高中2016级第三次诊断性考试数学(文)参考答案及评分意见一、选择题:本大题共12小题,每小题5分,共60分.BCDBACABCDBC二、填空题:本大题共4小题,每小题5分,共20分.13.114.24−15.5616.24三、解答题:本大题共6小题,共70分.17.解:(1) nan+1-(n+1)an=1+2+3+…+n=(1)2nn+,……………………2分∴11(1)1(1)(1)12nnnnnanaaannnnnn+++−=−=+++,………………………………………5分∴数列{}nan是以1为首项,公差为12的等差数列.………………………6分(2)由(1)知111(1)22nannn+=+−=,∴(1)2nnna+=.………………………………………………………………8分∴12112()(1)1nnbannnn===−++,…………………………………………10分∴121111122(1)22311nnnSbbbnnn=+++=−+−++−=++.……………12分18.解:(1)根据题意可知,2×2列联表为爱付费用户不爱付费用户合计年轻用户244064非年轻用户63036合计3070100……………………………………………3分于是22()()()()()nadbckabcdacbd−=++++=2100(2430406)4.7630706436−>3.841,……………………………………………………………………5分∴有95%的把握认为“爱付费用户”和“年轻用户”有关.……………7分(2)由分层抽样可知,抽取的5人中有4人为“年轻用户”,记为A1,A2,18届涨100分学生达20人罗老师18215571552周末班、寒暑假班、全日制、志愿填报、自主招生中学小班教学、一对一教学,针对性布局书山有路勤为径优径皆在为学溪为学溪家长高考群235649790为学溪高考学生群614146320成都西城角巷18号华润峰锦2303(九宁校区)成都百草路186号英伦二期四幢3单元205(成外校区)18年高考为学溪考出四清二北二交一复一浙一国一科北航、南开、同济、两财一贸若干文科数学答案第2页(共5页)A3,A4,1人为“非年轻用户”,记为B.从这5人中随机抽取2人的基本事件有A1A2,A1A3,A1A4,A1B,A2A3,A2A4,A2B,A3A4,A3B,A4B,即共10个基本事件.…………………………………………………………9分其中满足抽取的2人均是“年轻用户”的事件有A1A2,A1A3,A1A4,A2A3,A2A4,A3A4,共6个.……………………11分∴抽取2人恰好都是“年轻用户”的概率为63=105.……………………12分19.解:(1)证明:连接BD,交AC于点O,连接EO. E为PD的中点,O为BD的中点,∴EO为△PBD的中位线,……………………3分∴PB//EO,且EO=12PB.又EO平面EAC,PB平面EAC,∴PB//平面EAC.………………………………5分(2)在△PAB中,PA=AB=2,∠PAB=120º,由余弦定理得PB2=PA2+AB2-2PA·ABcos120º=12,解得PB=23.………………………………………………………………6分∴EO=3. AE⊥EC,且O为AC的中点,∴AC=2EO=23.在△ABO中,BO=221ABAO−=.…………………………………………8分在平面PAD内,作PF⊥AD,交DA的延长线于F. 平面PAD⊥平面ABCD,平面PAD平面ABCD=AD,∴PF⊥平面ABCD.即PF为点P到平面ABCD的距离. 点E为PD的中点,∴点E到平面ABCD的距离h是PF长度的一半.………………………10分在△PFA中,PF=PAsin60°=232=3,∴VB﹣ACE=VE-ACB=12VP-ABC=12×13S△ABC×3=12.…………………………………12分PEDCABOF18届涨100分学生达20人罗老师18215571552周末班、寒暑假班、全日制、志愿填报、自主招生中学小班教学、一对一教学,针对性布局书山有路勤为径优径皆在为学溪为学溪家长高考群235649790为学溪高考学生群614146320成都西城角巷18号华润峰锦2303(九宁校区)成都百草路186号英伦二期四幢3单元205(成外校区)18年高考为学溪考出四清二北二交一复一浙一国一科北航、南开、同济、两财一贸若干文科数学答案第3页(共5页)20.解:(1)由题意,得焦距225c=,且点B(2a,3)在椭圆E上,∴5c=,且222314aab+=.①………………………………………………2分又a2=b2+c2,即a2=b2+5.②联立①②解得b2=4,a2+b2+c2=9,∴椭圆E的方程为22194xy+=.……………………………………………4分(2)设11()Mxy,,12()Nxy,,于是PM=(x1,y1-23),PN=(x2,y2-23). 3PNPM=,...

1、当您付费下载文档后,您只拥有了使用权限,并不意味着购买了版权,文档只能用于自身使用,不得用于其他商业用途(如 [转卖]进行直接盈利或[编辑后售卖]进行间接盈利)。
2、本站所有内容均由合作方或网友上传,本站不对文档的完整性、权威性及其观点立场正确性做任何保证或承诺!文档内容仅供研究参考,付费前请自行鉴别。
3、如文档内容存在违规,或者侵犯商业秘密、侵犯著作权等,请点击“违规举报”。

碎片内容

四川省绵阳市高三数学第三次诊断性考试试卷 文答案 四川省绵阳市届高三数学第三次诊断性考试试卷 文 四川省绵阳市届高三数学第三次诊断性考试试卷 文

星河书苑+ 关注
实名认证
内容提供者

从事历史教学,热爱教育,高度负责。

确认删除?
VIP
微信客服
  • 扫码咨询
会员Q群
  • 会员专属群点击这里加入QQ群
客服邮箱
回到顶部