电脑桌面
添加小米粒文库到电脑桌面
安装后可以在桌面快捷访问

全国高考理科数学试题分类汇编解析几何VIP免费

全国高考理科数学试题分类汇编解析几何_第1页
1/31
全国高考理科数学试题分类汇编解析几何_第2页
2/31
全国高考理科数学试题分类汇编解析几何_第3页
3/31
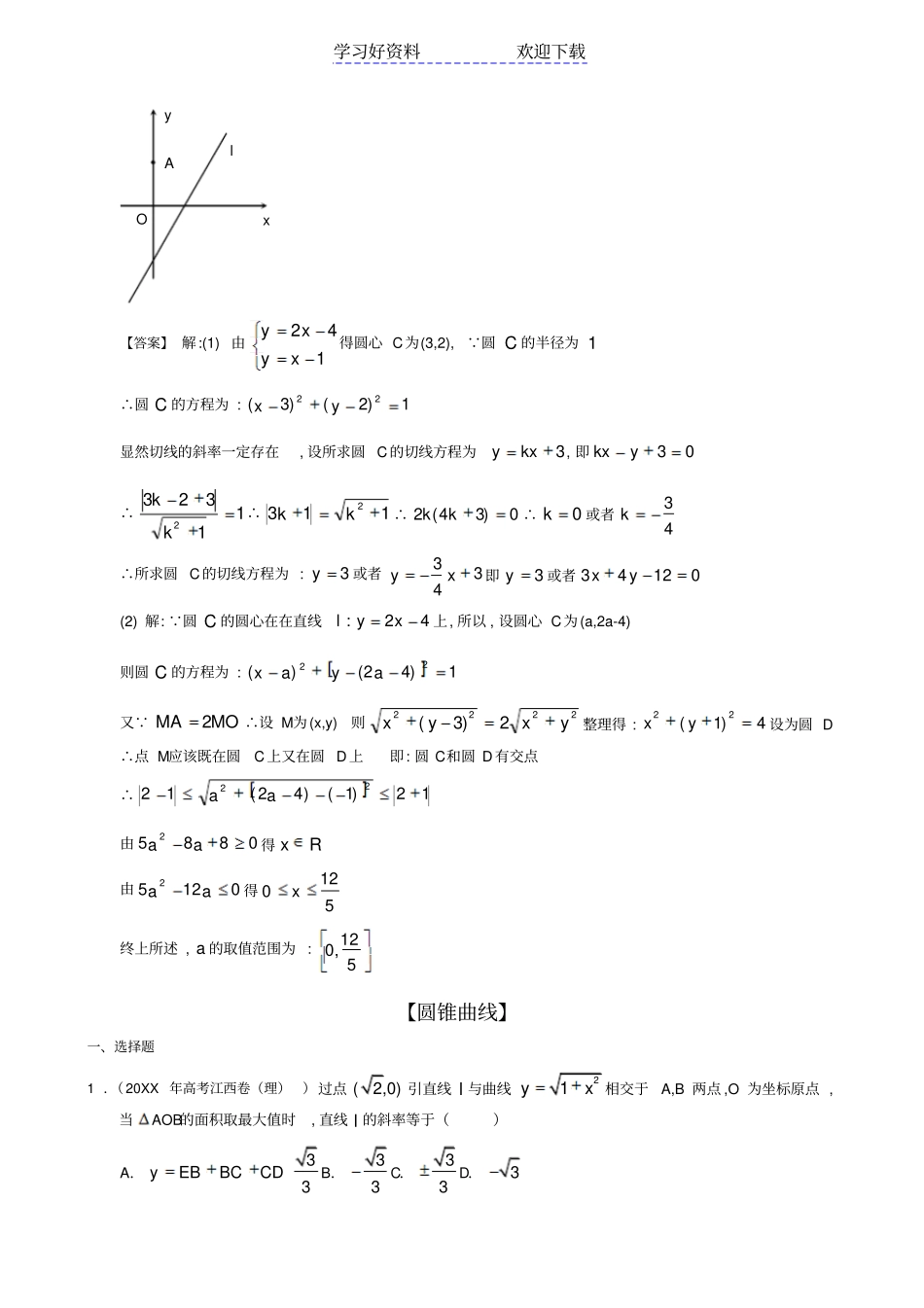
学习好资料欢迎下载20XX年全国高考理科数学试题分类汇编——解析几何【直线与圆】一、选择题1.(20XX年上海市春季高考数学试卷(含答案))直线2310xy的一个方向向量是()A.(23),B.(23),C.(32),D.(32),【答案】D2.(20XX年普通高等学校招生统一考试新课标Ⅱ卷数学(理)(纯WORD版含答案))已知点(1,0),(1,0),(0,1)ABC,直线(0)yaxba将△ABC分割为面积相等的两部分,则b的取值范围是()A.(0,1)B.21(1,)22(C)21(1,]23D.11[,)32【答案】B3.(20XX年普通高等学校招生统一考试山东数学(理)试题(含答案))过点(3,1)作圆22(1)1xy的两条切线,切点分别为A,B,则直线AB的方程为()A.230xyB.230xyC.430xyD.430xy【答案】A4.(20XX年普通高等学校招生统一考试辽宁数学(理)试题(WORD版))已知点30,0,0,,,.ABC,OAbBaa若为直角三角形则必有()A.3baB.31baaC.3310babaaD.3310babaa【答案】C5.(20XX年高考江西卷(理))如图,半径为1的半圆O与等边三角形ABC夹在两平行线,12,ll之间l//1l,l与半圆相交于F,G两点,与三角形ABC两边相交于E,D两点,设弧FG的长为(0)xx,yEBBCCD,若l从1l平行移动到2l,则函数()yfx的图像大致是学习好资料欢迎下载【答案】D6.(20XX年高考湖南卷(理))在等腰三角形ABC中,=4ABAC,点P是边AB上异于,AB的一点,光线从点P出发,经,BCCA发射后又回到原点P(如图1).若光线QR经过ABC的中心,则AP等()A.2B.1C.83D.43【答案】D二、解答题7.(20XX年普通高等学校招生全国统一招生考试江苏卷(数学)(已校对纯WORD版含附加题))本小题满分14分.如图,在平面直角坐标系xOy中,点)3,0(A,直线42:xyl,设圆C的半径为1,圆心在l上.(1)若圆心C也在直线1xy上,过点A作圆C的切线,求切线的方程;(2)若圆C上存在点M,使MOMA2,求圆心C的横坐标a的取值范围.学习好资料欢迎下载【答案】解:(1)由142xyxy得圆心C为(3,2), 圆C的半径为1∴圆C的方程为:1)2()3(22yx显然切线的斜率一定存在,设所求圆C的切线方程为3kxy,即03ykx∴113232kk∴1132kk∴0)34(2kk∴0k或者43k∴所求圆C的切线方程为:3y或者343xy即3y或者01243yx(2)解: 圆C的圆心在在直线42:xyl上,所以,设圆心C为(a,2a-4)则圆C的方程为:1)42()(22ayax又 MOMA2∴设M为(x,y)则22222)3(yxyx整理得:4)1(22yx设为圆D∴点M应该既在圆C上又在圆D上即:圆C和圆D有交点∴12)1()42(1222aa由08852aa得Rx由01252aa得5120x终上所述,a的取值范围为:512,0【圆锥曲线】一、选择题1.(20XX年高考江西卷(理))过点(2,0)引直线l与曲线21yx相交于A,B两点,O为坐标原点,当AOB的面积取最大值时,直线l的斜率等于()A.yEBBCCD33B.33C.33D.3xyAlO学习好资料欢迎下载【答案】B2.(20XX年普通高等学校招生统一考试福建数学(理)试题(纯WORD版))双曲线2214xy的顶点到其渐近线的距离等于()A.25B.45C.255D.455【答案】C3.(20XX年普通高等学校招生统一考试广东省数学(理)卷(纯WORD版))已知中心在原点的双曲线C的右焦点为3,0F,离心率等于32,在双曲线C的方程是()A.22145xyB.22145xyC.22125xyD.22125xy【答案】B4.(20XX年高考新课标1(理))已知双曲线C:22221xyab(0,0ab)的离心率为52,则C的渐近线方程为()A.14yxB.13yxC.12yxD.yx【答案】C5.(20XX年高考湖北卷(理))已知04,则双曲线22122:1cossinxyC与222222:1sinsintanyxC的()A.实轴长相等B.虚轴长相等C.焦距相等D.离心率相等【答案】D6.(20XX年高考四川卷(理))抛物线24yx的焦点到双曲线2213yx的渐近线的距离是()A.12B.32C.1D.3【答案】B7.(20XX年普通高等学校招生统一考试浙江数学(理)试题(纯WORD版))如图,21,FF是椭圆14:221yxC与双曲线2C的公共焦点,BA,分别是1C,2C在第二、四象限的公共点.若四边形学习好资料欢迎下载21BFAF为矩形,则2C的离心率是()A.2B.3C.23D.26【答案】D8.(20XX年普通高等学校招生统一考试天津数学(理)试题(含答案))已知双曲线22221(0,0)xyabab的两条渐近线与抛物线22(0)pxpy的准线分别交于A,B两点,O为坐标原点.若双曲线的离心率为2,△AOB的面积为3,则p=()A.1B.32C.2D.3【答案】C9.(2...

1、当您付费下载文档后,您只拥有了使用权限,并不意味着购买了版权,文档只能用于自身使用,不得用于其他商业用途(如 [转卖]进行直接盈利或[编辑后售卖]进行间接盈利)。
2、本站所有内容均由合作方或网友上传,本站不对文档的完整性、权威性及其观点立场正确性做任何保证或承诺!文档内容仅供研究参考,付费前请自行鉴别。
3、如文档内容存在违规,或者侵犯商业秘密、侵犯著作权等,请点击“违规举报”。

碎片内容

全国高考理科数学试题分类汇编解析几何

您可能关注的文档

确认删除?
VIP
微信客服
  • 扫码咨询
会员Q群
  • 会员专属群点击这里加入QQ群
客服邮箱
回到顶部