电脑桌面
添加小米粒文库到电脑桌面
安装后可以在桌面快捷访问

化工原理部分重点习题及答案VIP免费

化工原理部分重点习题及答案_第1页
1/9
化工原理部分重点习题及答案_第2页
2/9
化工原理部分重点习题及答案_第3页
3/9
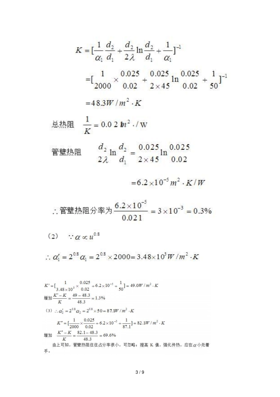
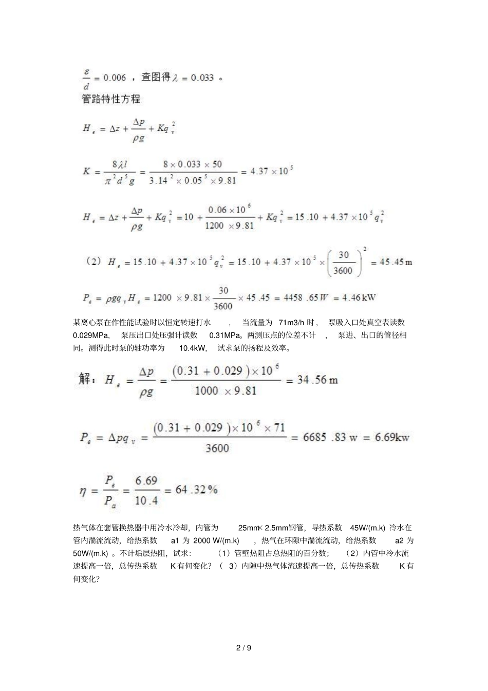
1 / 9 化工原理部分重点习题管路用一台泵将液体从低位槽送往高位槽。输送流量要求为2.5 ×10-3m3/s 。高位槽上方气体压强 (表压) 为 0.2MPa,两槽液面高度差为6m,液体密度为1100kg/m3 。管路 Φ 40×3mm,总长(包括局部阻力) 为 50m,摩擦系数为0.024 。求泵给每牛顿流体提供的能量为多少?解:取低位槽液面为1-1 截面,高位槽液面为2-2 截面,并以1-1 截面为基准面,在1-1和 2-2 截面间机械能衡算拟用一泵将碱液由敞口碱液槽打入位差为10m高的塔中。塔顶压强为0.06MPa(表压 )。全部输送管均为 φ 57× 3.5mm 无缝钢管 , 管长 50m(包括局部阻力的当量长度) 。碱液的密度 ρ=1200kg/m3 , 粘度 μ =2mPa·s。管壁粗糙度为0.3mm。试求: (1) 流动处于阻力平方区时的管路特性方程;(2) 流量为 30m3 /h 时的 He 和 Pe。 在阻力平方区λ =f (ε /d )2 / 9 某离心泵在作性能试验时以恒定转速打水, 当流量为 71m3/h 时 , 泵吸入口处真空表读数0.029MPa, 泵压出口处压强计读数0.31MPa。两测压点的位差不计, 泵进、出口的管径相同。测得此时泵的轴功率为10.4kW, 试求泵的扬程及效率。热气体在套管换热器中用冷水冷却,内管为25mm×2.5mm钢管,导热系数45W/(m.k) 冷水在管内湍流流动,给热系数a1 为 2000 W/(m.k),热气在环隙中湍流流动,给热系数a2 为50W/(m.k) 。不计垢层热阻,试求:(1)管壁热阻占总热阻的百分数;(2)内管中冷水流速提高一倍,总传热系数K 有何变化?( 3)内隙中热气体流速提高一倍,总传热系数K 有何变化?3 / 9 4 / 9 某列管式加热器由多根Ф 25×2.5mm的钢管所组成,将苯由20℃加热到60℃,苯在管中流动,其流量为16000kg/h ,流速为 0.6m/s 。加热剂为130℃的饱和水蒸汽,在管外冷凝。苯的 比 热 容Cp= 1.78kJ/(kg·℃ ) , 密 度 为860kg/m3 。 已 知 加 热 器 的 传 热 系 数 为720W/(m2· ℃ ) 。试求:(1)此加热器所需的管数n(2)单管的长度L。有一单壳程、双管程列管式换热器。壳程为120℃饱和水蒸气冷凝,常压空气以12m/s 的流速在管程内流过。列管为38× 2.5mm钢管,总管数为200 根。已知空气进口温度为26℃,要求被加热到86℃。又已知蒸汽侧对流传热系数为10 的四次方 W/(mK),壁阻及垢阻可忽略不计。试求:(1) 换热器列管每根管长为多少米?(2) 由于此换热器损坏,重新设计了一台新换热器,其...

1、当您付费下载文档后,您只拥有了使用权限,并不意味着购买了版权,文档只能用于自身使用,不得用于其他商业用途(如 [转卖]进行直接盈利或[编辑后售卖]进行间接盈利)。
2、本站所有内容均由合作方或网友上传,本站不对文档的完整性、权威性及其观点立场正确性做任何保证或承诺!文档内容仅供研究参考,付费前请自行鉴别。
3、如文档内容存在违规,或者侵犯商业秘密、侵犯著作权等,请点击“违规举报”。

碎片内容

化工原理部分重点习题及答案

爱的疯狂+ 关注
实名认证
内容提供者

该用户很懒,什么也没介绍

确认删除?
VIP
微信客服
  • 扫码咨询
会员Q群
  • 会员专属群点击这里加入QQ群
客服邮箱
回到顶部