电脑桌面
添加小米粒文库到电脑桌面
安装后可以在桌面快捷访问

高二数学双曲线及其标准方程课件 新课标 课件VIP免费

高二数学双曲线及其标准方程课件 新课标 课件高二数学双曲线及其标准方程课件 新课标 课件高二数学双曲线及其标准方程课件 新课标 课件高二数学双曲线及其标准方程课件 新课标 课件
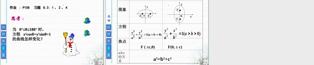
下 页上 页首 页 小 结结 束下页上页首页小结结束8.3 双曲线及其标准方程 下 页上 页首 页 小 结结 束1. 椭圆的定义和 等于常数2a ( 2a>|F1F2|>0) 的点的轨迹 .平面内与两定点 F1 、 F2 的距离的回顾旧知 下 页上 页首 页 小 结结 束1. 椭圆的定义和 等于常数2a ( 2a>|F1F2|>0) 的点的轨迹 .平面内与两定点 F1 、 F2 的距离的2. 引入问题:差 等于常数的点的轨迹是什么呢?平面内与两定点 F1 、 F2 的距离的动画回顾旧知 下 页上 页首 页 小 结结 束① 两个定点 F1 、 F2—— 双曲线的焦点 ; ② |F1F2|=2c —— 焦距 .( 1 ) 2a<2c ;oF2F1M 平面内与两个定点 F1 , F2 的距离的差等于常数 的点的轨迹叫做双曲线 .( 2 ) 2a >0 ;的绝对值(小于︱ F1F2 ︱)注意定义 : 下 页上 页首 页 小 结结 束F2F1MxOy2. 设点 : 设 M ( x , y ) , 双曲线的焦距为 2c ( c>0 ) ,F1(-c,0),F2(c,0)常数 =2a求曲线方程的步骤:方程的推导1. 建系:如图建立直角坐标系 xOy ,使 x 轴经过点 , ,并且点 O与线段 中点重合。1F2F21FF 下 页上 页首 页 小 结结 束|| MF1| - |MF2||= 2a .222222yc)(x2ayc)(x222yc)(xaacx)a(caya)xa(c22222222222acb令0)b0,1(a2222byax4. 化简 .2ayc)(xyc)(x2222即3. 列式 : 下 页上 页首 页 小 结结 束12222 byax12222 bxayF2F1MxOyOMF2F1xy)00(ba,双曲线的标准方程 下 页上 页首 页 小 结结 束问题:如何判断双曲线的焦点在哪个轴上?问题:如何判断双曲线的焦点在哪个轴上?F ( ±c, 0)12222 byax12222 bxayyxoF2F1MxyF2F1MF(0, ± c)练习:写出以下双曲线的焦点坐标练习:写出以下双曲线的焦点坐标191622 YX(( 二次项系数为正二次项系数为正 ,, 焦点在相应的轴上焦点在相应的轴上 )) 下 页上 页首 页 小 结结 束例 1 已知双曲线的焦点为 F1(-5,0),F2(5,0) ,双曲线上一点 P 到 F1 、 F2 的距离的差的绝对值等于 8 ,求双曲线的标准方程 . 22a a = 8,= 8, c=5c=5∴∴ a a = 4, c = 5= 4, c = 5∴∴ bb2 2 = 5= 522--442 2 =9=9所以所求双曲线的标准方程为:所以所求双曲线的标...

1、当您付费下载文档后,您只拥有了使用权限,并不意味着购买了版权,文档只能用于自身使用,不得用于其他商业用途(如 [转卖]进行直接盈利或[编辑后售卖]进行间接盈利)。
2、本站所有内容均由合作方或网友上传,本站不对文档的完整性、权威性及其观点立场正确性做任何保证或承诺!文档内容仅供研究参考,付费前请自行鉴别。
3、如文档内容存在违规,或者侵犯商业秘密、侵犯著作权等,请点击“违规举报”。

碎片内容

高二数学双曲线及其标准方程课件 新课标 课件

确认删除?
VIP
微信客服
  • 扫码咨询
会员Q群
  • 会员专属群点击这里加入QQ群
客服邮箱
回到顶部