电脑桌面
添加小米粒文库到电脑桌面
安装后可以在桌面快捷访问

中考数学专题复习 第8讲 一元一次方程及应用课件VIP免费

中考数学专题复习 第8讲 一元一次方程及应用课件中考数学专题复习 第8讲 一元一次方程及应用课件中考数学专题复习 第8讲 一元一次方程及应用课件中考数学专题复习 第8讲 一元一次方程及应用课件中考数学专题复习 第8讲 一元一次方程及应用课件
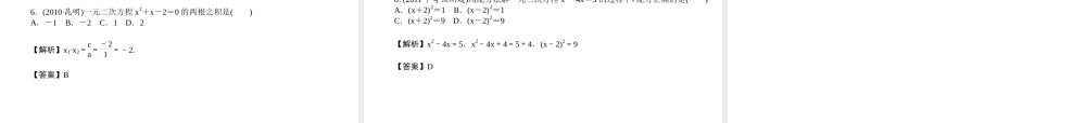
第 8 讲 一元二次方程及应用 考点知识精讲中考典型精析举一反三考点训练考点一 一元二次方程的定义 在整式方程中,只含有一个未知数,并且含未知数项的最高次数是 2,这样的整式方程叫一元二次方程,一元二次方程的标准形式是 ax2+bx+c=0(a≠0). 考点二 一元二次方程的常用解法 1.直接开平方法:如果 x2=a(a≥0),则 x=± a,则 x1= a,x2=- a. 2.配方法:如果 x2+px+q=0 且 p2-4q≥0,则x+p22=-q+p22. x1=-p2+-q+p22,x2=-p2--q+p22. 3.公式法:方程 ax2+bx+c=0 且 b2-4ac≥0,则 x=-b±b2-4ac2a. 4.因式分解法:若 ax2+bx+c=(ex+f)(mx+n),则 ax2+bx+c=0 的根为 x1=-fe,x2=-nm. 考点三 列一元二次方程解应用题 列一元二次方程解应用题的步骤和列一元一次方程(组)解应用题步骤一样,即审、找、设、列、解、答六步. 考点四 一元二次方程根的判别式 关于 x 的一元二次方程 ax2+bx+c=0(a≠0)的根的判别式为 b2-4ac. 1.b2-4ac>0⇔ 一元二次方程 ax2+bx+c=0(a≠0)有两个不相等的实数根,则 x1,2=-b±b2-4ac2a; 2.b2-4ac=0⇔ 一元二次方程 ax2+bx+c=0(a≠0)有两个相等的实数根,即 x1=x2=-b2a; 3.b2-4ac<0⇔ 一元二次方程 ax2+bx+c=0(a≠0)没有实数根; 考点五 一元二次方程根与系数之间的关系 1.若关于 x 的一元二次方程 ax2+bx+c=0(a≠0)有两根分别为 x1、x2,则 x1+x2=-ba,x1·x2=ca. 2.(简易形式)若关于 x 的一元二次方程 x2+px+q=0 有两个根分别为 x1、x2,则 x1+x2=-p,x1·x2=q. (1)(2010·桂林)一元二次方程 x2+3x-4=0 的解是( ) A.x1=1,x2=-4 B.x1=-1,x2=4 C.x1=-1,x2=-4 D.x1=1,x2=4 (2)(2010·眉山)已知方程 x2-5x+2=0 的两个解分别为 x1、x2,则 x1+x2-x1·x2 的值为( ) A.-7 B.-3 C.7 D.3 (3)(2010·上海)已知一元二次方程 x2+x-1=0,下列判断正确的是( ) A.该方程有两个相等的实数根 B.该方程有两个不相等的实数根 C.该方程无实数根 D.该方程根的情况不确定 (4)(2009·深圳)用配方法将代数式 a2+4a-5 变形,结果正确的是( ) A.(a+2)2-1 B.(a+2)2-5 C.(a+2)2+4 D.(a+2)2-9 【点拨】本组题考查一元二次方程的相关概念和解法. 【...

1、当您付费下载文档后,您只拥有了使用权限,并不意味着购买了版权,文档只能用于自身使用,不得用于其他商业用途(如 [转卖]进行直接盈利或[编辑后售卖]进行间接盈利)。
2、本站所有内容均由合作方或网友上传,本站不对文档的完整性、权威性及其观点立场正确性做任何保证或承诺!文档内容仅供研究参考,付费前请自行鉴别。
3、如文档内容存在违规,或者侵犯商业秘密、侵犯著作权等,请点击“违规举报”。

碎片内容

中考数学专题复习 第8讲 一元一次方程及应用课件

您可能关注的文档

确认删除?
VIP
微信客服
  • 扫码咨询
会员Q群
  • 会员专属群点击这里加入QQ群
客服邮箱
回到顶部