电脑桌面
添加小米粒文库到电脑桌面
安装后可以在桌面快捷访问

吉林大学工程数学计算方法习题答案VIP免费

吉林大学工程数学计算方法习题答案_第1页
1/17
吉林大学工程数学计算方法习题答案_第2页
2/17
吉林大学工程数学计算方法习题答案_第3页
3/17
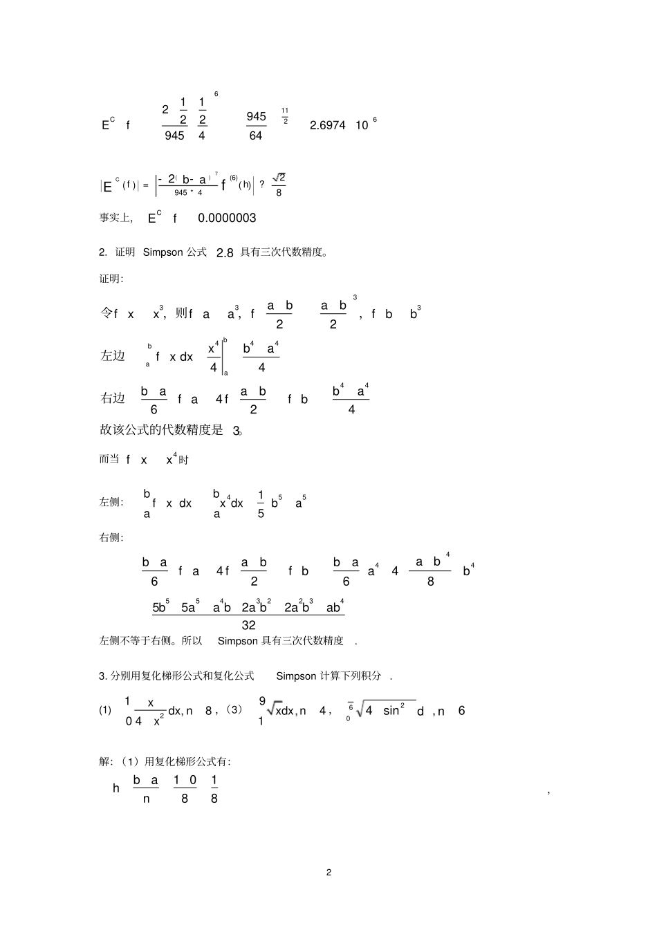
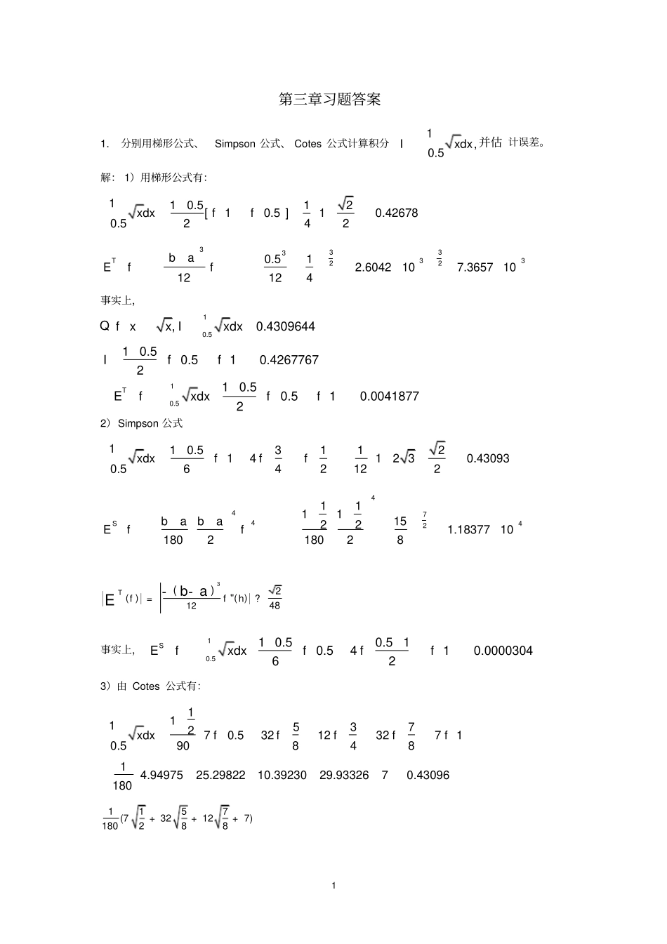
1 第三章习题答案1.分别用梯形公式、Simpson 公式、 Cotes 公式计算积分1,0.5Ixdx 并估 计误差。解: 1)用梯形公式有:110.512[10.5 ]10.426780.5242xdxff333333220.512.6042107.36571012124TbaEff事实上,10.510.5,0.430964410.50.510.4267767210.50.510.00418772Tfxx IxdxIffEfxdxffQ2)Simpson 公式110.531121412 30.430930.5642122xdxfff447442111115221.1837710180218028SbabaEff()3122( )''( )48T ffbaEh=?--事实上,10.51 0.50.510.5410.000030462SEfxdxfff3)由 Cotes 公式有:1115372 70.5321232710.59084814.9497525.2982210.3923029.9332670.43096180xdxfffff1157(732127)180288+++2 61162112945222.697410945464CEf()7(6)945 * 42( )( )82CfbaEfh=?--事实上,0.0000003CEf2.证明 Simpson 公式 2.8 具有三次代数精度。证明:333344444224446243baababfxxfaaffbbxbafx dxbaabbaf aff bba令,则,,左边右边故该公式的代数精度是。而当4fxx 时左侧:45515bbfx dxx dxbaaa右侧:44455432234446268552232abbaabbafaff babbaa ba ba bab左侧不等于右侧。所以Simpson 具有三次代数精度.3. 分别用复化梯形公式和复化公式Simpson 计算下列积分 .(1)21,80 4xdx nx,(3)9,41xdx n,6,sin4602nd解:(1)用复化梯形公式有:1 0188bahn,3 123456721288888881 02(0.0311280.0615380.0905660.117650.142350.164380.18361)0.20.111416nhTfaffffffff由复化 Simpson 公式有:811123135702 ()146444488881020.061538 0.11765 0.1643840.031128 0.090566 0.412350.183510.2240.11157Sfffffffff12112,100xedx nx解: 删去解( 3):9,41xdx n由复化梯形公式有:49 12,412192357213235717.2277bahnTfffff由复化 Simpson 公式有:414192543762132543717.32203Sfffff(4)解:6,sin4602nd由复化梯形公式:0356219.1]36362)0([36)]()(2)([25,4,3,2,1,,3660651516fkffbffafhTkkhanabhkkkk由复化 Simpson 公式:4 035763886.1,035834878.13672365,4,3,2,1,0,2,,323145062150216664SkfHkhfhHHTSkkkkk4.给定求积节点012113,,,424xxx试推出计算积分10fx dx 的插值型求积公式,并写出它的截断误差。解:10120113424fx dxA fA fA f10011013224,11133424413144111332424xxAdxxxAdx考虑到对称性,有20AA ,于是有求积公式1021311[]34432fx dxfff由于原式含有3 个节点,故它至少有2 阶精...

1、当您付费下载文档后,您只拥有了使用权限,并不意味着购买了版权,文档只能用于自身使用,不得用于其他商业用途(如 [转卖]进行直接盈利或[编辑后售卖]进行间接盈利)。
2、本站所有内容均由合作方或网友上传,本站不对文档的完整性、权威性及其观点立场正确性做任何保证或承诺!文档内容仅供研究参考,付费前请自行鉴别。
3、如文档内容存在违规,或者侵犯商业秘密、侵犯著作权等,请点击“违规举报”。

碎片内容

吉林大学工程数学计算方法习题答案

文库响当当+ 关注
实名认证
内容提供者

该用户很懒,什么也没介绍

确认删除?
VIP
微信客服
  • 扫码咨询
会员Q群
  • 会员专属群点击这里加入QQ群
客服邮箱
回到顶部