电脑桌面
添加小米粒文库到电脑桌面
安装后可以在桌面快捷访问

哈尔滨工业大学至学数学分析期末考试试题AVIP专享VIP免费

哈尔滨工业大学至学数学分析期末考试试题A_第1页
1/7
哈尔滨工业大学至学数学分析期末考试试题A_第2页
2/7
哈尔滨工业大学至学数学分析期末考试试题A_第3页
3/7
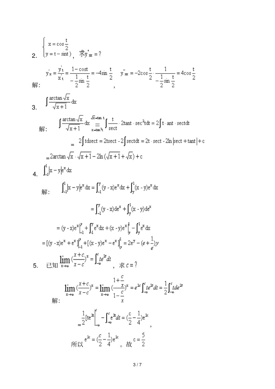
1 / 7 哈尔滨工业大学2004 至 2005 学年数学分析期末考试试题A 哈尔滨工业大学2004 -2005 学年秋季学期工科数学分析期末考试试卷(答案)试题卷( A)考试形式(开、闭卷):闭答题时间: 150(分钟)本卷面成绩占课程成绩70% 一.选择题(每题2 分,共 10 分)1.下列叙述中不正确者为(D )(A)如果数列收敛,那么数列一定有界。(B)如果,则一定有。(C)在点处可导的充要条件是在点处可微。(D)如果函数在点处导数为,则必在该点处取得极值。2.设在 [0 ,1] 上则下列不等式正确者为(B )(A)(B)(C)(D)3.若在上可积,则下列叙述中错误者为(D)(A)连续(B)在上可积(C)在上由界(D)在上连续4.若,则(D)(A)2 / 7 (B)(C)(D)5.(D)(A)(B)(C)(D)二.填空题(每题2 分,共 10 分)1.的间断点为:,其类型为:第一类间断点。2.的全部渐近线方程为:。3.摆线处的切线方程为:。4.=:1 。5.设在上可导,,则=:三.计算下列各题:(每小题4 分,本题满分 20 分)1.若,求解:2,则3 / 7 2.,解:,3. 解:==4.解:5. 已知,求解:=,所以。故4 / 7 四.解答下列各题:(每小题5 分,本题满分 10分)1. 已知数列,,求证:收敛,并且证明: 1) 证有界因为, 所以。假设,则。故有界。2)证单调因为,故为单调上升数列。由 1)和 2)知道收敛。设,由,所以有解得。而且为单调递增数列, 所以。故。2.设,曲线与三条直线所围平面部分绕x 轴旋转成的旋转体的体积为取何值时,最大?解:,由得,。当时,故当时,达到极大值,且为最大值。五:证明下列各题: (1,2 题各 4 分,3,4 题各 6 分,本题满分 20 分)5 / 7 1. 证明方程至少有一个不超过的正根。证明:设,显然它在上连续。(i )若,则即为满足条件的根。(ii )若,则。而,由零点定理知存在,使得。即为满足条件的根。2. 设函数且,试证:证明:由知道,所以。因为,故由积分中值定理知:,使得,即。3. 设在区间上有二阶导数。,证明:在区间内至少存在一点,使证明:将在与处展成一阶泰勒公式6 / 7 (1) (2) 令,注意到,(1),(2)有(3) (4) (4)- (3) 得:所以:取,即有。4. 设在区间上连续,且证明:存在一个使得证明:令,显然在上连续,在内可导,又,即。在由罗尔定理知,存在使得,即7 / 7 =

1、当您付费下载文档后,您只拥有了使用权限,并不意味着购买了版权,文档只能用于自身使用,不得用于其他商业用途(如 [转卖]进行直接盈利或[编辑后售卖]进行间接盈利)。
2、本站所有内容均由合作方或网友上传,本站不对文档的完整性、权威性及其观点立场正确性做任何保证或承诺!文档内容仅供研究参考,付费前请自行鉴别。
3、如文档内容存在违规,或者侵犯商业秘密、侵犯著作权等,请点击“违规举报”。

碎片内容

哈尔滨工业大学至学数学分析期末考试试题A

确认删除?
VIP
微信客服
  • 扫码咨询
会员Q群
  • 会员专属群点击这里加入QQ群
客服邮箱
回到顶部