电脑桌面
添加小米粒文库到电脑桌面
安装后可以在桌面快捷访问

不等式的综合复习 人教版 课件VIP免费

不等式的综合复习 人教版 课件不等式的综合复习 人教版 课件不等式的综合复习 人教版 课件不等式的综合复习 人教版 课件不等式的综合复习 人教版 课件
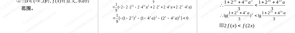
张宁中级教师2003 年名师课堂辅导讲座—高中部分 学习内容1 、不等式的性质2 、证明不等式的主要依据① baba0baba0② 不等式的性质 学习内容③ 几个重要不等式ⅰ)(02Raaⅱ),(222Rbaabbaⅲ),(2Rbaabba),}(,max{222},min{22Rbabababaabbaabbaⅳ 学习内容3 、不等式证明方法4 、不等式的解法① 比较法② 综合法 ③ 分析法④ 换元法⑤ 放缩法 ⑥ 反证法⑦ 判别式法 ⑧ 构造法⑨ 数学归纳法 学习要求 不等式是高中数学的重要组成部分,它与其它章节的联系非常紧密,应注重不等式与其它知识的衔接,抓住解题的切入点。 学习指导重点:不等式的基本知识。难点:不等式与函数、数列的衔接。关键:知识点间的联系,将切入点解决好。 典型例题( )例 1 :① 若 ba, 是正数,则的是baabba1122A 、充分不必要条件B 、必要不充分条件C 、充要条件D 、既不充分又不必要条件 典型例题那么如果,0abm②abmambmambDmambabmambCmambmambabBmambabmambAcoscoscos.coscoscos.coscoscos.coscoscos. 典型例题③,4,0,0yxyx且若则下列不等式中恒成立的是( )2.411.xyCyxA11.111.xyDyxB 典型例题④Nncba,设cancbba11且恒成立,则n 的最大值是( )A.2 B.3 C.4 D.5 典型例题⑤若设,0,0yx恒成立yxayx.的最小值求a⑥,|3||4|有解已知axx.的取值范围求a 解答:① 充分性:1,112222baba0)1)(1(1||,1||bababaab1baabba1,2时当.,1822必要性不成立但 ba必要性:故选 A 。 解答:②abm0)(10真分数性质mambabmamb单调递减)1,0(,cosxxy.coscoscosAmambabmamb故选 解答:③40,0yxyx且442xyyxxy即411 xy.,14121211Bxyyx故选 解答:④,cba0,0cbybax可设yxca则得由yxnyx 11xyxyyxxyyxn2)(222 解答:44222xyxyxyxyyx4)2(min22xyxyyx4n 解答:⑤yxyxzyxyxa令,222122xyxyyxxyyxz20z2a2min a 解答:⑥ 法一:axxx343时当327,27aax则有解1 aaxxx3443时当1a即...

1、当您付费下载文档后,您只拥有了使用权限,并不意味着购买了版权,文档只能用于自身使用,不得用于其他商业用途(如 [转卖]进行直接盈利或[编辑后售卖]进行间接盈利)。
2、本站所有内容均由合作方或网友上传,本站不对文档的完整性、权威性及其观点立场正确性做任何保证或承诺!文档内容仅供研究参考,付费前请自行鉴别。
3、如文档内容存在违规,或者侵犯商业秘密、侵犯著作权等,请点击“违规举报”。

碎片内容

不等式的综合复习 人教版 课件

确认删除?
VIP
微信客服
  • 扫码咨询
会员Q群
  • 会员专属群点击这里加入QQ群
客服邮箱
回到顶部