电脑桌面
添加小米粒文库到电脑桌面
安装后可以在桌面快捷访问

注册电气公共基础 第8讲 高等数学(八)(XXXX新版)VIP免费

注册电气公共基础 第8讲 高等数学(八)(XXXX新版)_第1页
1/5
注册电气公共基础 第8讲 高等数学(八)(XXXX新版)_第2页
2/5
注册电气公共基础 第8讲 高等数学(八)(XXXX新版)_第3页
3/5
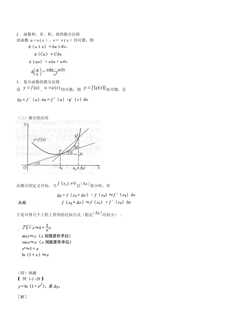
四、微分及其应用(一)微分概念 1 .微分的定义设函数 y = f ( x )在某区间 I 内有定义,。若函数的增量其中 A 是不依赖的常数,则称 y = f ( x )在点 x0可微分,叫做 y = f ( x )在点 x0相应于自变量增量的微分,记作 dy ,即函数 y = f(x)劝在点 x 的微分称为函数 y = f ( x )的微分,记作 dy 或 df ( x)。2 .函数可微分的充分必要条件函数 y = f(x)在点 x0 可微分的充分必要条件是 f ( x )在点 x0 可导,且当 f ( x ) 在点 xo可导时,其微分一定是函数的微分是通常把称为自变量的微分,记作 dx ,即于是函数的微分可写成而导数可写成即导数等于函数的微分 dy 与自变量的微分 dx 之商。(二)基本微分公式与微分法则1 .基本微分公式2 .函数和、差、积、商的微分法则设函数 u = u ( x )、v= v ( x )均可微,则3 .复合函数的微分法则设 、均可微,则 也可微,且(三)微分的应用由微分的定义可知,当且很小时,有于是可得几个工程上常用的近似公式(假定比较小) :(四)例题 【 例 1-2 -29 】[解]【 例 1-2-30 】[解]【 例 1-2 -31 】计算 sin30°30`的近似值。 【解 】 把 sin30°30`化为弧度,得【 例 1-2 - 32 】 计算 的近似值。五、中值定理与导数的应用(一)中值定理 1 .若函数 f ( x )在闭区间[ a ,b]上连续,在开区间( a , b )内可导,且 f ( a ) = f ( b ) ,则至少有一点ξ∈( a, b ) ,使得 f ' (ξ)= 0。2 .拉格朗日中值定理若函数 f ( x )在闭区间[ a ,b]上连续,在开区间( a , b )内可导,则至少有一 点 ξ∈( a, b ),使得下式成立(二)求未定式的值的方法 ― 罗必塔法则1 .未定式与的情形关于要的情形:设( 1 )当 x → a (或 x→∞)时, f (x)→0 且 F ( x ) → 0 ,( 2 ) 在点 a 的某去心邻域内(或当|X|> N 时) , f ' ( x )及 F ' ( x )都存在且 F ' (x)0 ,则 若 仍属型 ,且 f ' ( x )、 F ' (x)满足上述三个条件,则可继续运用罗必塔法则,即对于型,也有相应的罗必塔法则,这里不再赘述。2 .其他形式的未定式的情形其他尚有 0 · 、-、 00 、 1、0 型的未定式,它们均可通过变形化成或的情形。如 0 ·型可变形成或,-型通过通分,...

1、当您付费下载文档后,您只拥有了使用权限,并不意味着购买了版权,文档只能用于自身使用,不得用于其他商业用途(如 [转卖]进行直接盈利或[编辑后售卖]进行间接盈利)。
2、本站所有内容均由合作方或网友上传,本站不对文档的完整性、权威性及其观点立场正确性做任何保证或承诺!文档内容仅供研究参考,付费前请自行鉴别。
3、如文档内容存在违规,或者侵犯商业秘密、侵犯著作权等,请点击“违规举报”。

碎片内容

注册电气公共基础 第8讲 高等数学(八)(XXXX新版)

确认删除?
VIP
微信客服
  • 扫码咨询
会员Q群
  • 会员专属群点击这里加入QQ群
客服邮箱
回到顶部