电脑桌面
添加小米粒文库到电脑桌面
安装后可以在桌面快捷访问

2021年至2023年全国考研数学真题(附解析答案)VIP免费

2021年至2023年全国考研数学真题(附解析答案)_第1页
1/45
2021年至2023年全国考研数学真题(附解析答案)_第2页
2/45
2021年至2023年全国考研数学真题(附解析答案)_第3页
3/45
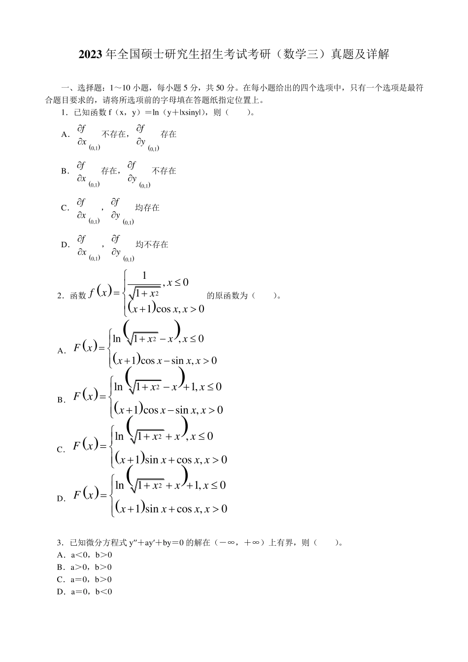
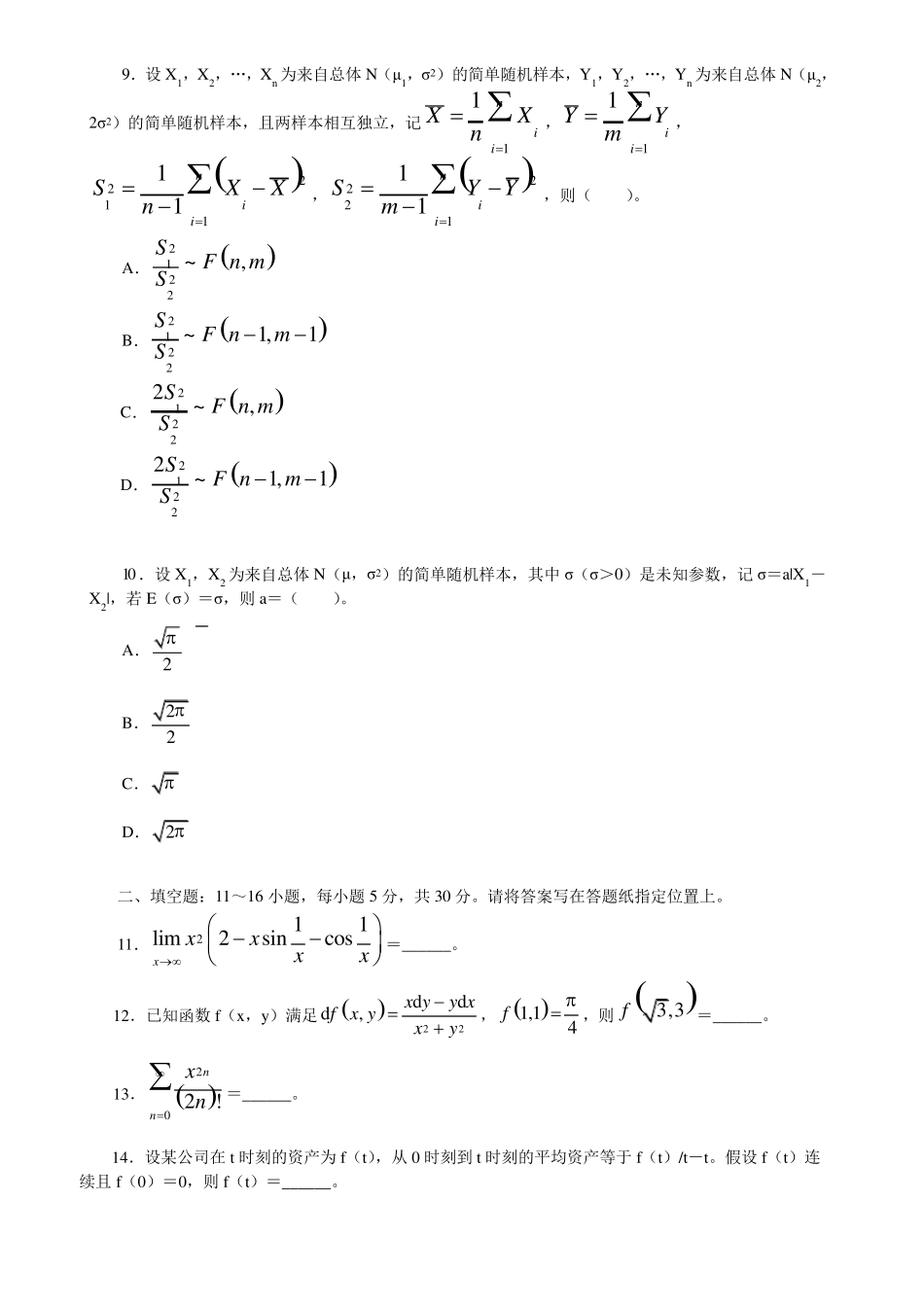
2 0 2 3 年全国硕士研究生招生考试考研(数学三)真题及详解 1.已知函数f一、选择题:1~10 小题,每小题5 分,共50 分。在每小题给出的四个选项中,只有一个选项是最符合题目要求的,请将所选项前的字母填在答题纸指定位置上。(x,y)=ln(y+|xsiny|),则( )。 A.xf0,1不存在,yf0,1存在 B.xf0,1存在,yf0,1不存在 C.xf0,1,yf0,1均存在 D.xf0,1,yf0,1均不存在 2.函数 x ,011 x 2x 1 cos x , x  0f x 的原函数为()。A. F xxxx1 cossin ,02x x x x   ln1,0B. F xxxx1 cossin ,02x x x x   ln11,0C.F xxxx1 sincos ,02x x x x   ln1,0D.F xxxx1 sincos ,02x x x x   ln11,0)。3.已知微分方程式y′′+ay′+by=0 的解在(-∞,+∞)上有界,则(A.a<0,b>0B.a>0,b>0C.a=0,b>0D.a=0,b<0 n=1,2,…),若级数n1an 与n1bn 均收敛,则“级数n1an 绝对收敛”是“ bnn14.已知 an<bn(绝对收敛”的()。A.充分必要条件B.充分不必要条件C.必要不充分条件D.既不充分也不必要条件 5.设 A,B 为 n 阶可逆矩阵,E 为 n 阶单位矩阵,M*为矩阵 M 的伴随矩阵,则OBAE*=()。A. A BB AOB A****B. B AA BOA B****C. B AB AOA B****D. A BA BOB A****x1,x2,x3)=(x1+x2)2+(x1+x3)2-4(x2-x3)2 的规范形为()。6.二次型 f(A.y12+y22B.y12-y22C.y12+y22-4y32D.y12+y22-y327.已知向量    321α1    ,    112α2    ,    92β1   5 ,    101β2    ,若γ既可由 α1,α2 线性表示,也可由与β1,β2 线性表示,则γ=()。A.     kkR43 , 3B.kkR105, 3C.kkR21, 1D.  ...

1、当您付费下载文档后,您只拥有了使用权限,并不意味着购买了版权,文档只能用于自身使用,不得用于其他商业用途(如 [转卖]进行直接盈利或[编辑后售卖]进行间接盈利)。
2、本站所有内容均由合作方或网友上传,本站不对文档的完整性、权威性及其观点立场正确性做任何保证或承诺!文档内容仅供研究参考,付费前请自行鉴别。
3、如文档内容存在违规,或者侵犯商业秘密、侵犯著作权等,请点击“违规举报”。

碎片内容

2021年至2023年全国考研数学真题(附解析答案)

最好的沉淀+ 关注
实名认证
内容提供者

行业文档

确认删除?
VIP
微信客服
  • 扫码咨询
会员Q群
  • 会员专属群点击这里加入QQ群
客服邮箱
回到顶部