电脑桌面
添加小米粒文库到电脑桌面
安装后可以在桌面快捷访问

圆锥曲线与平面向量综合VIP免费

圆锥曲线与平面向量综合_第1页
1/6
圆锥曲线与平面向量综合_第2页
2/6
圆锥曲线与平面向量综合_第3页
3/6
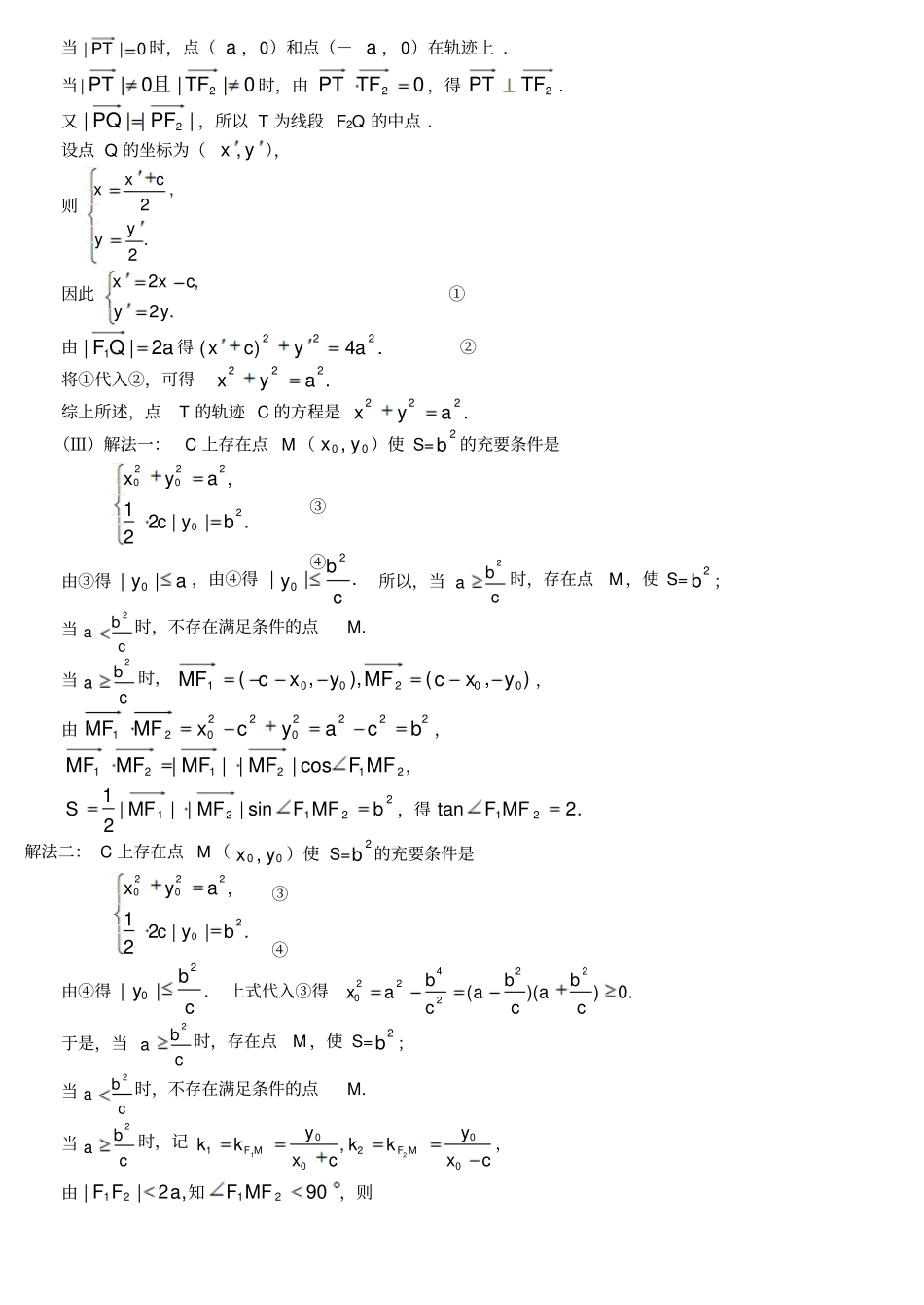
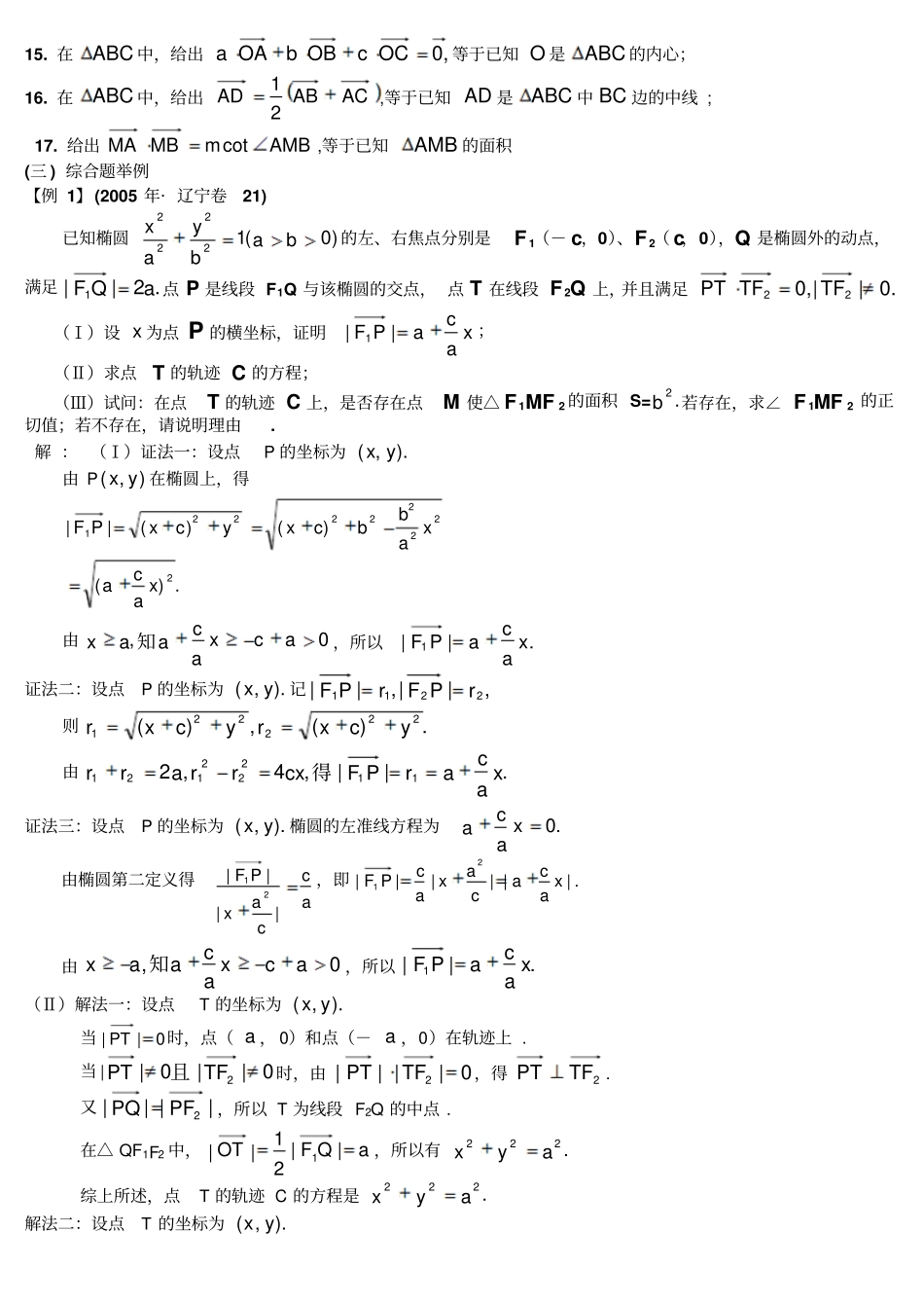
圆锥曲线与平面向量的综合(1)解析几何是研究方程与曲线的一门学科,是用代数的方法研究曲线的性质,而平面向量既具有代数形式又具有几何形式,因此平面向量与解析几何的结合是顺理成章的事情,在解决解析几何问题时,平面向量的出现不仅可以很明确地反映几何特征,而且又方便计算,把解析几何与平面向量综合在一起命制考题,可以有效地考查考生的数形结合思想,解析几何的基本思想以及数学联结能力等数学思想和数学能力。在 2004年的试卷中 , 向量与解析几何综合的解答题有:全国卷Ⅰ(文,理),全国卷Ⅱ(理) ,天津卷(文,理),湖南卷(文,理) ,江苏卷,辽宁卷等 . 在 2005年的试卷中 , 向量与解析几何综合的解答题有:全国卷Ⅰ(文,理),全国卷Ⅱ(文,理) ,天津卷(文,理) ,福建卷(文,理) ,重庆卷(文,理) ,湖南卷(文,理) ,辽宁卷等 . 这表明在全国2004 年的 25 套试卷中有9 套占%36,在 2005 年的 29 套试卷中 , 就有 13 套, 占%45. 一) 解析几何与向量综合的题目,可能出现的向量内容:1. 给出直线的方向向量ku,1或nmu,,等于已知直线的斜率k 或 nm;2. 给出OBOA与 AB 相交 ,等于已知OBOA过 AB 的中点 ; 3. 给出0PNPM,等于已知 P 是 MN 的中点 ; 4. 给出BQBPAQAP,等于已知QP,与 AB 的中点三点共线; 5. 给出以下情形之一①ACAB //, ②存在实数,,CABA使③若存在实数BOAOCO使且,1,,,等于已知CBA,,三点共线 . 6. 给出1OBOAOP,等于已知 P 是 AB 的定比分点,为定比,即PBAP7. 给出0MBMA,等于已知MBMA,即AMB 是直角 ,给出0mMBMA,等于已知AMB 是钝角 , 给出0mMBMA,等于已知AMB 是锐角 , 8. 给出MPMBMBMAMA,等于已知 MP 是AMB 的平分线 / 9. 在平行四边形ABCD 中,给出0)()(ADABADAB,等于已知ABCD 是菱形 ; 10. 在平行四边形ABCD 中,给出ADABADAB,等于已知 ABCD 是矩形 ; 11. 在ABC 中,给出222OCOBOA,等于已知 O 是ABC 的外心;12. 在ABC 中,给出0OCOBOA,等于已知 O 是ABC 的重心;13. 在ABC 中,给出OAOCOCOBOBOA,等于已知 O 是ABC 的垂心;14. 在ABC 中,给出OAOP)(ACACABAB)(R等于已知 AP 通过ABC 的内心;15. 在ABC 中,给出,0OCcOBbOAa等于已知 O 是ABC 的内心;16. 在ABC 中,给出ACABAD21,等于已知 AD 是ABC 中 BC 边的中线 ; 17. 给出AMBmMBMAcot,等于已知AMB 的面积(...

1、当您付费下载文档后,您只拥有了使用权限,并不意味着购买了版权,文档只能用于自身使用,不得用于其他商业用途(如 [转卖]进行直接盈利或[编辑后售卖]进行间接盈利)。
2、本站所有内容均由合作方或网友上传,本站不对文档的完整性、权威性及其观点立场正确性做任何保证或承诺!文档内容仅供研究参考,付费前请自行鉴别。
3、如文档内容存在违规,或者侵犯商业秘密、侵犯著作权等,请点击“违规举报”。

碎片内容

圆锥曲线与平面向量综合

您可能关注的文档

确认删除?
VIP
微信客服
  • 扫码咨询
会员Q群
  • 会员专属群点击这里加入QQ群
客服邮箱
回到顶部