电脑桌面
添加小米粒文库到电脑桌面
安装后可以在桌面快捷访问

学生会第一次全体大会会议流程VIP免费

学生会第一次全体大会会议流程_第1页
1/4
学生会第一次全体大会会议流程_第2页
2/4
学生会第一次全体大会会议流程_第3页
3/4
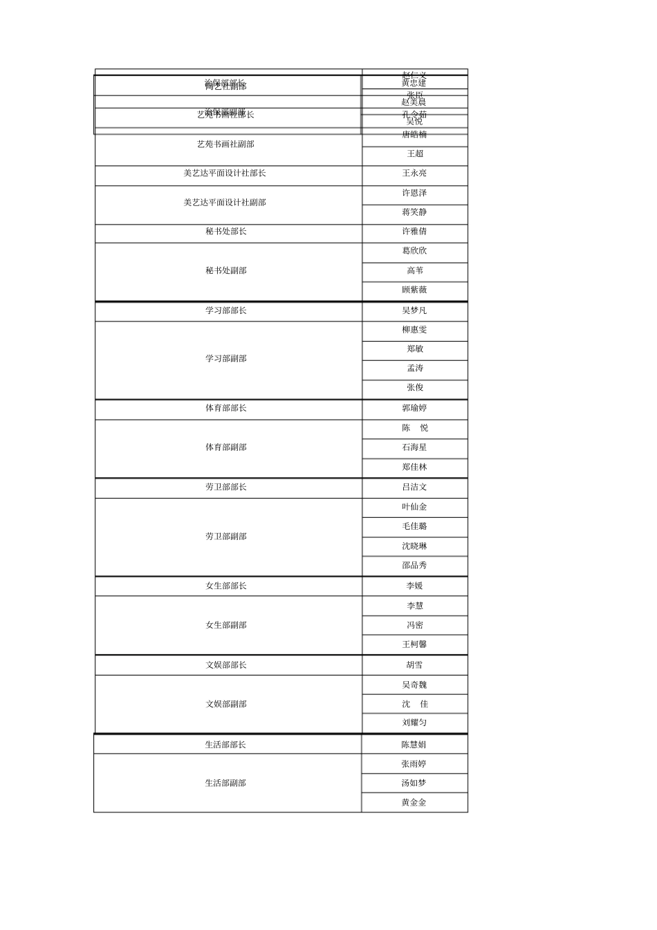
学 生 会 第 一 次 全 体 会 议 暨 学 风 建 设 月 工 作 推 进 会 议杨志:大会即将开始,请全体人员将手机关机或调为静音、振动模式,会议期间请大家保持良好秩序,谢谢!。 (会议中可以下去走动安排好会议秩序)吴征开 :尊敬的各位领导、亲爱的同学们,大家下午好!非常荣幸我能主持这次大会,首先请允许我做下自我介绍,我是环艺141 班班长吴征开也是本届学生会主席。经过半个多月三轮面试的的层层筛选,在座的同学组成了我们新的学生会大家庭,我为你们能够进入学生会而感到骄傲,因为我相信你们都是优秀的。我也对新一届学生会充满了希望,因为它注入了新鲜的血液而变得蓬勃生春!今天是个好日子,是预示着一个全新的开始的日子。展望未来一年的学生会工作,任重而道远。全新的开始意味着无限的希望,我们要学会思考,要善于总结,要勇于创新。只有这样我们才能拥有出色的工作成绩和良好的精神面貌。下面,我宣布美术与设计学院2016 届学生会第一次全体大会暨学风建设月工作推进会议现在开始!嘉宾介绍 :首先,允许我向大家介绍出席本次会议的嘉宾, 他们分别是学术与设计学院xxx 书记高娟老师、美术与设计学院学工办主任吴海燕老师、美术与设计学院团总支书记葛媛媛老师、辅导员陈赟浩老师。让我们再一次以热烈的掌声感谢领导的到来!大会第一项:首先由主席团吴征开为大家公布学生会主要学生干部的公示结果:主席吴征开副主席冯展王璐瑶董佳欣杨志团总支组织委员元念漪宣传委员徐燕楠纪检委员蒋奇寒青年志愿者负责人陈颖超秘书长李一琛新媒体中心负责人杨东干事胡佳佳唐皓楠陈琪花玉张远佘慧李欣蔓张雨婷孙青晨美工部部长沈君楠美工部副部王宇聪杨帅赵雯鑫就业部部长杨莉欢就业部副部陈晓邵淡秋许叶凡采编部部长谢爽采编部副部陆玉李瑞颖彭华伟创业部部长夏传鑫创业部副部孙婕王雨新李华章陶艺社部长陶嘉诚陶艺社副部赵仁义张臣艺苑书画社部长孔令茹艺苑书画社副部唐皓楠王超美艺达平面设计社部长王永亮美艺达平面设计社副部许恩泽蒋笑静秘书处部长许雅倩秘书处副部葛欣欣高苇顾紫薇学习部部长吴梦凡学习部副部柳惠雯郑敏孟涛张俊体育部部长郭瑜婷体育部副部陈悦石海星郑佳林劳卫部部长吕洁文劳卫部副部叶仙金毛佳璐沈晓琳邵品秀女生部部长李媛女生部副部李慧冯密王柯馨文娱部部长胡雪文娱部副部吴奇魏沈佳刘耀匀生活部部长陈慧娟生活部副部张雨婷汤如梦黄金金治保部部长黄忠建治保部副部赵美晨吴悦让我们以...

1、当您付费下载文档后,您只拥有了使用权限,并不意味着购买了版权,文档只能用于自身使用,不得用于其他商业用途(如 [转卖]进行直接盈利或[编辑后售卖]进行间接盈利)。
2、本站所有内容均由合作方或网友上传,本站不对文档的完整性、权威性及其观点立场正确性做任何保证或承诺!文档内容仅供研究参考,付费前请自行鉴别。
3、如文档内容存在违规,或者侵犯商业秘密、侵犯著作权等,请点击“违规举报”。

碎片内容

学生会第一次全体大会会议流程

您可能关注的文档

确认删除?
VIP
微信客服
  • 扫码咨询
会员Q群
  • 会员专属群点击这里加入QQ群
客服邮箱
回到顶部