电脑桌面
添加小米粒文库到电脑桌面
安装后可以在桌面快捷访问

高中数学 第三章 数系的扩充与复数 3.2.3 复数的除法课后训练 新人教B版选修2-2-新人教B版高二选修2-2数学试题VIP免费

高中数学 第三章 数系的扩充与复数 3.2.3 复数的除法课后训练 新人教B版选修2-2-新人教B版高二选修2-2数学试题_第1页
1/3
高中数学 第三章 数系的扩充与复数 3.2.3 复数的除法课后训练 新人教B版选修2-2-新人教B版高二选修2-2数学试题_第2页
2/3
高中数学 第三章 数系的扩充与复数 3.2.3 复数的除法课后训练 新人教B版选修2-2-新人教B版高二选修2-2数学试题_第3页
3/3
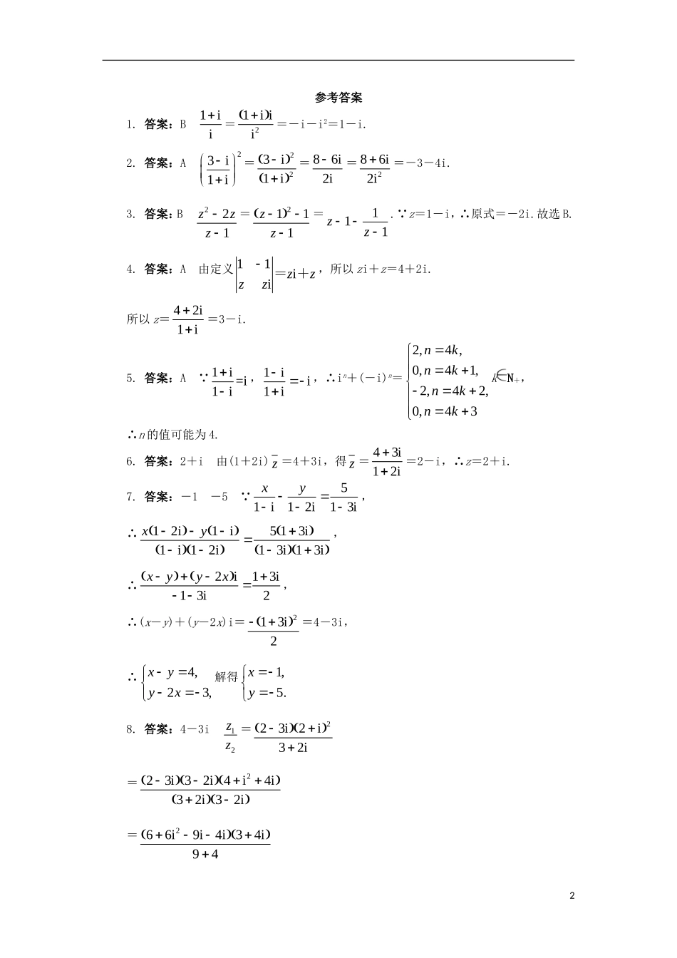
3.2.3 复数的除法课后训练1.复数=( ).A.-1-i B.1-iC.-1+i D.-i2.复数23i1 i等于( ).A.-3-4i B.-3+4iC.3-4i D.3+4i3.已知复数 z=1-i,则221zzz等于( ).A.2i B.-2iC.2 D.-24.定义运算 abcd=ad-bc,则符合条件 1 1 izz=4+2i 的复数 z 为( ).A.3-i B.1+3iC.3+i D.1-3i5.若 1i1i=21i1inn,则 n 的值可能为( ).A.4 B.5 C.6 D.76.已知复数 z 满足(1+2i)z=4+3i,那么 z=________.7.若 x,y∈R,且5=1 i1 2i1 3ixy,则 x=________,y=________.8.已知复数1z =2+3i,2232iz = 2i  ,则12zz等于________.9.已知221( )=1zzf zzz ,求 f(2+3i)与 f(1-i)的值.10.设 z∈C,若|z|=1,且 z≠±i.(1)证明:21zz必是实数;(2)求21zz对应的点的轨迹.1参考答案1. 答案:B 1 ii =21 i ii   =-i-i2=1-i.2. 答案:A 23i1 i=223i1 i    = 86i2i=286i2i=-3-4i.3. 答案:B 221zzz=2111zz   =111zz. z=1-i,∴原式=-2i.故选 B.4. 答案:A 由定义 1 1i izzzz= + ,所以 zi+z=4+2i.所以 z= 42i1 i=3-i.5. 答案:A 1 i =i1 i,1 ii1 i,∴in+(-i)n=2,4 ,0,41,2,42,0,43nknknknkkN+,∴n 的值可能为 4.6. 答案:2+i 由(1+2i) z =4+3i,得 z = 43i12i=2-i,∴z=2+i.7. 答案:-1 -5 51 i1 2i1 3ixy,∴12i1i5 13i1i 12i13i 13ixy         ,∴2i1 3i1 3i2xyyx   ,∴(x-y)+(y-2x)i=21 3i2   =4-3i,∴4,23,xyyx 解得1,5.xy8. 答案:4-3i 12zz=223i 2i32i   =223i 32i 4i4i32i 32i     =266i9i4i 34i94  2= 13i 34i13 =-3i-4i2=4-3i.9. 答案:解: f(z)=2211zzzz ,∴f(2+3i)=2223i23i123i23i1       =69i147...

1、当您付费下载文档后,您只拥有了使用权限,并不意味着购买了版权,文档只能用于自身使用,不得用于其他商业用途(如 [转卖]进行直接盈利或[编辑后售卖]进行间接盈利)。
2、本站所有内容均由合作方或网友上传,本站不对文档的完整性、权威性及其观点立场正确性做任何保证或承诺!文档内容仅供研究参考,付费前请自行鉴别。
3、如文档内容存在违规,或者侵犯商业秘密、侵犯著作权等,请点击“违规举报”。

碎片内容

高中数学 第三章 数系的扩充与复数 3.2.3 复数的除法课后训练 新人教B版选修2-2-新人教B版高二选修2-2数学试题

远洋启航书店+ 关注
实名认证
内容提供者

从事历史教学,热爱教育,高度负责。

确认删除?
VIP
微信客服
  • 扫码咨询
会员Q群
  • 会员专属群点击这里加入QQ群
客服邮箱
回到顶部