电脑桌面
添加小米粒文库到电脑桌面
安装后可以在桌面快捷访问

动词形式及其变化规则VIP免费

动词形式及其变化规则_第1页
1/6
动词形式及其变化规则_第2页
2/6
动词形式及其变化规则_第3页
3/6
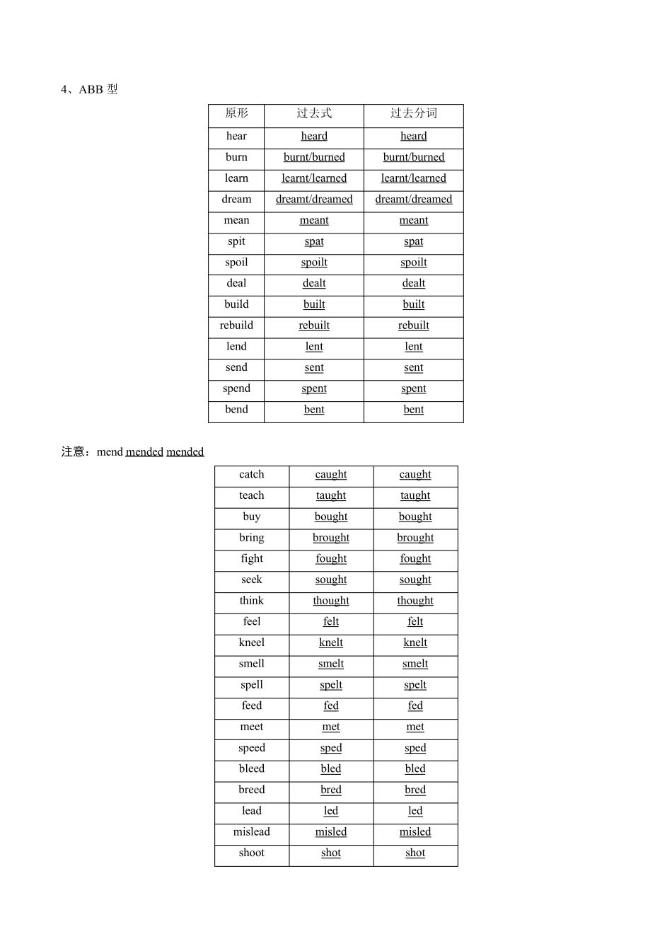
动词原形及其变化形式 动词的形式有以下几种: 1. 原形 2. 第三人称单数 3. 动名词 4. 不定式 5. 过去式 6. 现在分词 7. 过去分词 附一:第三人称单数变化规则 (与名词复数变化相似) 1. 一般情况下,直接在动词词尾+s takes; plays; likes… 2. 以s, x, sh, ch, o 结尾的动词,在词尾+ es fixes; teaches; goes…. 3. 以辅音字母+ y 结尾的动词,先把y 变为 i,再加 es studies; flies; worries… 4. 特殊情况: is; has 附二:过去式与过去分词变化规则 一、规则变化 1. 一般情况直接加ed asked; played; worked… 2. 以不发音的e 结尾,只加 d danced; loved; deserved…. 3. 以辅音字母加y 结尾,把y 变为 i,再加 ed tried; studied; cried…. 4. 重读闭音节结尾,末尾只有一个辅音字母,先双写该辅音字母,再加“-ed” stopped; dropped; permitted…. 5. 少数以c 结尾的动词,加-ked traffic—trafficked;arc—arcked…. 二、不规则变化 1、AAA 型 原形 过去式 过去分词 broadcast broadcast broadcast burst burst burst cast cast cast cost cost cost cut cut cut hit hit hit hurt hurt hurt let let let put put put read read read set set set shut shut shut split split split spread spread spread upset upset upset 2、AAB 型 原形 过去式 过去分词 beat beat beaten 3、ABA 型 原形 过去式 过去分词 come came come become became become ov ercome ov ercame ov ercome run ran run 4、ABB 型 原形 过去式 过去分词 hear heard heard burn burnt/burned burnt/burned learn learnt/learned learnt/learned dream dreamt/dreamed dreamt/dreamed mean meant meant spit spat spat spoil spoilt spoilt deal dealt dealt build built built rebuild rebuilt rebuilt lend lent lent send sent sent spend spent spent bend bent bent 注意:mend mended mended catch caught caught teach taught taught buy bought bought bring brought brought fight fought fought seek sought sought think thought thought feel felt felt kneel knelt knelt smell smelt smelt spe...

1、当您付费下载文档后,您只拥有了使用权限,并不意味着购买了版权,文档只能用于自身使用,不得用于其他商业用途(如 [转卖]进行直接盈利或[编辑后售卖]进行间接盈利)。
2、本站所有内容均由合作方或网友上传,本站不对文档的完整性、权威性及其观点立场正确性做任何保证或承诺!文档内容仅供研究参考,付费前请自行鉴别。
3、如文档内容存在违规,或者侵犯商业秘密、侵犯著作权等,请点击“违规举报”。

碎片内容

动词形式及其变化规则

精品文库+ 关注
实名认证
内容提供者

该用户很懒,什么也没介绍

相关文档

确认删除?
VIP
微信客服
  • 扫码咨询
会员Q群
  • 会员专属群点击这里加入QQ群
客服邮箱
回到顶部