电脑桌面
添加小米粒文库到电脑桌面
安装后可以在桌面快捷访问

完整版三元一次方程组计算专项练习题有答案VIP免费

完整版三元一次方程组计算专项练习题有答案_第1页
1/9
完整版三元一次方程组计算专项练习题有答案_第2页
2/9
完整版三元一次方程组计算专项练习题有答案_第3页
3/9
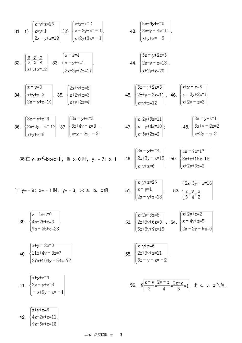
三元一次方程组 --- 1 三元一次方程组专项练习90 题(有答案)1..2..3.4..5. 6..7.8..9..1012..13..14..15..16..17...1819..20..21..22..23..、24.已知方程组的解能使等式4x﹣6y=10 成立,求 m的值.、25.当 a 为何值时,方程组的解 x、y 的值互为相反数.26.27..28..三元一次方程组 --- 2 三元一次方程组 --- 3 31 1)(2).32..33..34..35.36..37. .38 在 y=ax2+bx+c 中,当 x=0 时,y=﹣7;x=1时 y=﹣9;x=﹣1 时,y=﹣3,求 a、b、c 值.39..40.41.42..43..44..45..46.47.;48.49..50.51..52.53..54.55..56.若,求 x,y,z 的值 .三元一次方程组 --- 4 57.对于等式 y=ax2+bx+c,有三对 x,y 的值;;能使等式两边值相等,试求 a,b,c 的值.58..59.已知关于 x,y 的方程组的解也是方程 4x﹣y=﹣9 的解,求 k 的值.60.方程组的解也是方程4x﹣3y+k=0 的解,求 k 的值.61.已知等式 y=ax2+bx+c,且当 x=1 时y=2;当 x=﹣1 时 y=﹣2;当 x=2 时 y=3,你能求出 a,b,c 的值吗?63.已知关于 x,y 的方程组的解满足 3x+15y=16+2k,求 k.64.在等式 y=ax2+bx+c 中,当 x=﹣1 时,y=0;当 x=2 时,y=3;当 x=5 时,y=60.求a、b、c 的值.65.(1)(2).66.(1);(2).(1);(2).k 取何值时,方程组的解满足5x﹣3y=0?69..70.72..73..三元一次方程组 --- 5 74.若三元一次方程组的解使 ax+2y﹣z=0,求 a 的值.75.已知:,求 x,y,z 的值.76.已知代数式 ax2+bx+c,当 x=1 时,其值为﹣4;当 x=7 时,其值为 8;当 x=5 时,其值为 0,求 a、b、c 的值.(1)(2).78.若方程组的解满足 x+y=0,试求 m 的值.79 (1);(2).已知方程组的解 x、y 的 和 12,求 n 的值.已知方程组的解满足 3x﹣4y=14,求 a 的值.80.(1)(2)(3)(4).81.在等式 y=ax2+bx+c 中,当 x=1 时, y=0;当 x=2 时, y=4;当 x=3 时, y=10.当 x=4 时 y的值是多少?三元一次方程组 --- 6 三元一次方程组 --- 7 参考答案:1.解为2.解是.3.,解为.4.解为.5.解为.6.,是:7∴.8. :9.解10.解为.11.解是⋯12.,的解是.13.,解是14.,.15.,,解为16.,的解为.17.解:,解是.18.解是19...

1、当您付费下载文档后,您只拥有了使用权限,并不意味着购买了版权,文档只能用于自身使用,不得用于其他商业用途(如 [转卖]进行直接盈利或[编辑后售卖]进行间接盈利)。
2、本站所有内容均由合作方或网友上传,本站不对文档的完整性、权威性及其观点立场正确性做任何保证或承诺!文档内容仅供研究参考,付费前请自行鉴别。
3、如文档内容存在违规,或者侵犯商业秘密、侵犯著作权等,请点击“违规举报”。

碎片内容

完整版三元一次方程组计算专项练习题有答案

文库当当响+ 关注
实名认证
内容提供者

该用户很懒,什么也没介绍

相关文档

确认删除?
VIP
微信客服
  • 扫码咨询
会员Q群
  • 会员专属群点击这里加入QQ群
客服邮箱
回到顶部