电脑桌面
添加小米粒文库到电脑桌面
安装后可以在桌面快捷访问

高三数学第一轮复习:不等式证明,均值不等式(文)人教实验版(A)考试卷VIP免费

高三数学第一轮复习:不等式证明,均值不等式(文)人教实验版(A)考试卷_第1页
1/12
高三数学第一轮复习:不等式证明,均值不等式(文)人教实验版(A)考试卷_第2页
2/12
高三数学第一轮复习:不等式证明,均值不等式(文)人教实验版(A)考试卷_第3页
3/12
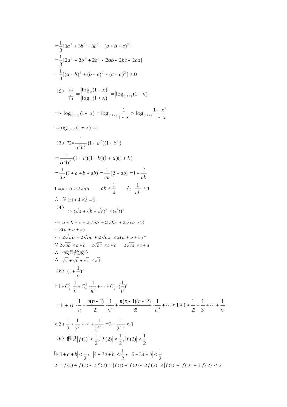
高三数学第一轮复习:不等式证明,均值不等式(文)人教实验版(A)【本讲教育信息】一. 教学内容:不等式证明,均值不等式二. 重点、难点:1. 证明方法(1)直接证明:比较法、综合法、分析法(2)间接证明:反证法(3)其它方法2. 均值不等式【典型例题】[例1] 证明:(1),求证:(2)且,求证:(3),,求证:(4)且,求证:(5),求证:(6),求证:中至少有一个不小于(7),求证:证明:(1)(2)(3)左= ∴ ∴ 左(4) ∴ *式显然成立∴ (5)(6)假设即,,与已知矛盾 ∴ 假设不成立 ∴ 原命题真(7) ∴ ∴ [例2](1)的最大值;(2),的最小值解:(1) ∴ 时,(2) ∴ 时,[例3] (1),求的最小值;(2),求的最小值。解:(1) ∴ (2),∴ 当 ∴另解: [例4] ,函数,若方程,在(0,1)内有两个不等的实根,求正整数 的最小值及此时方程的根。解:∴ 开口向上,不妨设两根∴ ∴又 ∴又,∴ ∴ 此时∴ ∴ [例5] 已知是实数,函数,,当时,。(1)证明:;(2)证明:当时,(3)设,有时,的最大值为2,求(1)证明:由条件当时,,取得,即(2)证法一:依题设而,所以,当时,在上是增函数,于是,() ∴因此得,;当时,在[-1,1]上是减函数于是 ∴综上以上结果,当时,都有证法二: ∴ ,∴,,因此,根据绝对值不等式性质得: ∴函数的图象是一条直线因此在[-1,1]上的最大值只能在区间的端点或处取得于是由得,()证法三: ∴当时,有 ,(),∴因此当时,(3)解:因为,在[-1,1]上是增函数,当x=1时取得最大值2,即① ,∴ 因为当时,,即,根据二次函数的性质,直线为的图象的对称轴,由此得,即,由①得,所以[例6] 设二次函数,方程的两个根满足。(1)当时,证明;(2)设函数的图象关于直线对称,证明:。解:(1)令,因为是方程的根所以当时,由于,得又,得,即 ,∴∴,由此得(2)依题意:,因为是方程的两根,即是方程的根∴ ∴ 因为,∴[例7] 设(为常数),方程的两个实数根为,,且满足。(1)求证:;(2)设,比较与的大小。(1)证明:由,得,∴∴(2)解: ,∴ 又,∴∴[例8] 设,是满足的实数,其中。求证:(1);(2)。证明:(1)由,得, ,∴∴,∴,∴ 又,∴(2)由,得 ,∴ ∴,即化简得+2 ∴ ∴[例9] 设函数的定义域是R,对于任意实数,恒有,且当时,。(1)求证:,且当时,有;(2)...

1、当您付费下载文档后,您只拥有了使用权限,并不意味着购买了版权,文档只能用于自身使用,不得用于其他商业用途(如 [转卖]进行直接盈利或[编辑后售卖]进行间接盈利)。
2、本站所有内容均由合作方或网友上传,本站不对文档的完整性、权威性及其观点立场正确性做任何保证或承诺!文档内容仅供研究参考,付费前请自行鉴别。
3、如文档内容存在违规,或者侵犯商业秘密、侵犯著作权等,请点击“违规举报”。

碎片内容

高三数学第一轮复习:不等式证明,均值不等式(文)人教实验版(A)考试卷

您可能关注的文档

确认删除?
VIP
微信客服
  • 扫码咨询
会员Q群
  • 会员专属群点击这里加入QQ群
客服邮箱
回到顶部