电脑桌面
添加小米粒文库到电脑桌面
安装后可以在桌面快捷访问

重庆市万州二中高二数学上学期10月月考参考答案) 重庆市万州二中高二数学上学期10月月考考试卷(PDF) 重庆市万州二中高二数学上学期10月月考考试卷(PDF)VIP免费

重庆市万州二中高二数学上学期10月月考参考答案) 重庆市万州二中高二数学上学期10月月考考试卷(PDF) 重庆市万州二中高二数学上学期10月月考考试卷(PDF)_第1页
1/3
重庆市万州二中高二数学上学期10月月考参考答案) 重庆市万州二中高二数学上学期10月月考考试卷(PDF) 重庆市万州二中高二数学上学期10月月考考试卷(PDF)_第2页
2/3
重庆市万州二中高二数学上学期10月月考参考答案) 重庆市万州二中高二数学上学期10月月考考试卷(PDF) 重庆市万州二中高二数学上学期10月月考考试卷(PDF)_第3页
3/3
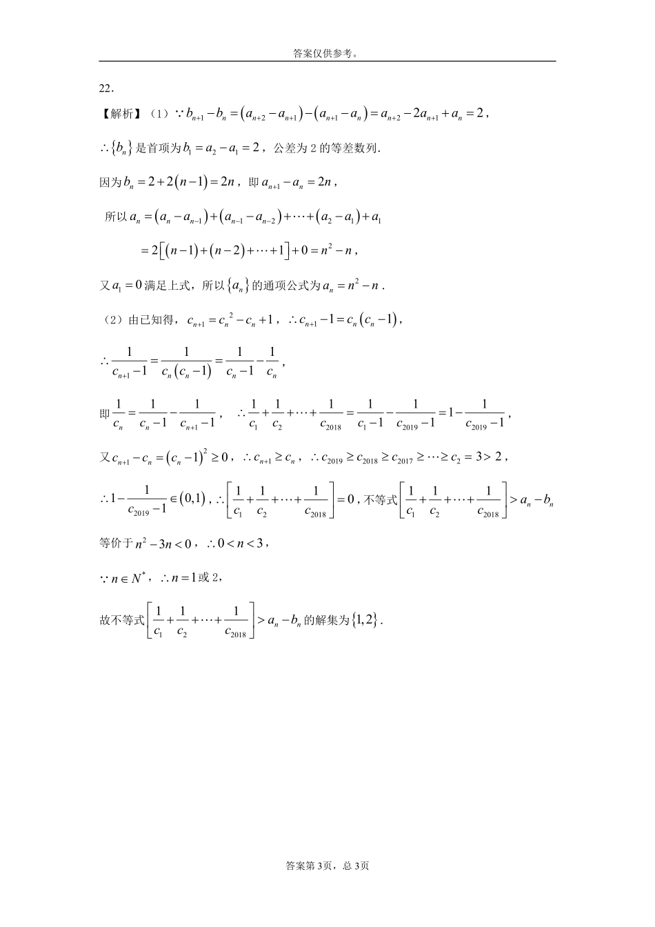
答案仅供参考。答案第 1页,总 3页万州二中高 2021 级 10 月月考试题(参考答案)数学一、选择题BACDBCBACDAB二、填空题13.1:314. 1 或 515.(8,44 2)16.264三、解答题17.【解析】由轴截面图知:母线为2l ,底面圆半径为3r ,侧面积为2 3Srl.18.【解析】(1)6424( 1)ACk   12BDk直线 BD 的方程为11(4)2yx 即260xy(2) AB 边中点 E5(0,)2,中线CE 的方程为554221yx即13250xy19.【解析】(1)证明:设 CB1 与 C1B 的交点为 E,连接 DE,又四边形 BCC1B1 为正方形.∵D 是 AB 的中点,E 是 BC1 的中点,∴DE∥AC1.∵DE⊂平面 CDB1,AC1⊄平面 CDB1,∴AC1∥平面 CDB1.(2)可求三棱锥1BBCD的体积为 12,则多面体111ADCA B C的体积为 10。答案仅供参考。答案第 2页,总 3页20.【解析】(1)证明:PA  平面 ABCD ,所以 PACD,又因为 ACDC,PAACA,所以CD  平面 PAC ,所以CDPC;(2)证明:连接 AQPA  平面 ABCD ,所以 PAAB,又因为 ABAD, PAADA,所以 AB 平面 PAD ,所以 AB  PD①,PA  平面 ABCD ,所以 PACD,又因为 ACDC, PAACA,所以CD  平面 PAC ,所以CD  AQ ,由题可得 PAAC,所以 PC  AQ ,CDPCC,所以 AQ  平面 PCD,所以 AQ  PD ②,由①②且 ABAQA,得 PD  平面 ABQ ,所以 PDBQ21.答案仅供参考。答案第 3页,总 3页22.【解析】(1) 12112122nnnnnnnnnbbaaaaaaa, nb是首项为1212baa,公差为 2 的等差数列.因为2212nbnn,即12nnaan ,所以 112211nnnnnaaaaaaaa 221210nnnn,又10a 满足上式,所以 na的通项公式为2nann.(2)由已知得,211nnnccc ,111nnnccc ,11111111nnnnnccccc,即111111nnnccc ,1220181201920191111111111cccccc ,又2110nnnccc ,1nncc,201920182017232cccc,2019110,11c ,1220181110ccc,不等式122018111nnabccc等价于230nn,03n ,*nN,1n  或 2,故不等式122018111nnabccc的解集为1,2 .

1、当您付费下载文档后,您只拥有了使用权限,并不意味着购买了版权,文档只能用于自身使用,不得用于其他商业用途(如 [转卖]进行直接盈利或[编辑后售卖]进行间接盈利)。
2、本站所有内容均由合作方或网友上传,本站不对文档的完整性、权威性及其观点立场正确性做任何保证或承诺!文档内容仅供研究参考,付费前请自行鉴别。
3、如文档内容存在违规,或者侵犯商业秘密、侵犯著作权等,请点击“违规举报”。

碎片内容

重庆市万州二中高二数学上学期10月月考参考答案) 重庆市万州二中高二数学上学期10月月考考试卷(PDF) 重庆市万州二中高二数学上学期10月月考考试卷(PDF)

您可能关注的文档

确认删除?
VIP
微信客服
  • 扫码咨询
会员Q群
  • 会员专属群点击这里加入QQ群
客服邮箱
回到顶部