电脑桌面
添加小米粒文库到电脑桌面
安装后可以在桌面快捷访问

辽宁省抚顺一中高二数学上学期12月考试(文) 新人教版考试卷VIP免费

辽宁省抚顺一中高二数学上学期12月考试(文) 新人教版考试卷_第1页
1/9
辽宁省抚顺一中高二数学上学期12月考试(文) 新人教版考试卷_第2页
2/9
辽宁省抚顺一中高二数学上学期12月考试(文) 新人教版考试卷_第3页
3/9
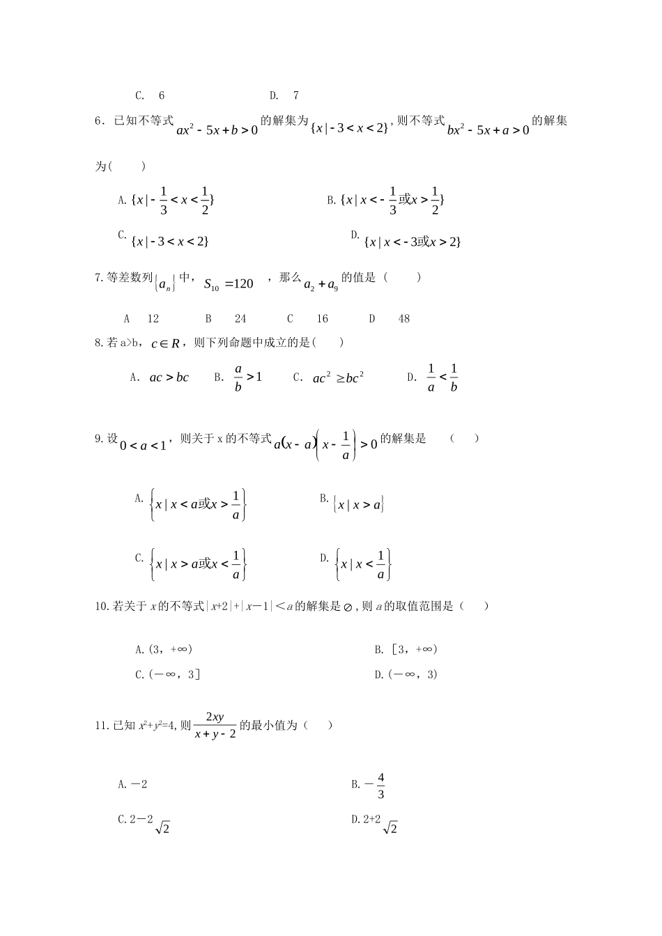
抚顺一中 2009-2010 学年度上学期 12 月考试高二试题数学(文科)考试时间:120 分钟 满分:150 分 命题:房晓南 一.选择题(共 12 个小题,每小题 5 分,共 60 分)1.不等式(x-1)(x-3)>0的解集为 ( ) A. {x|x<1} B. {x|x>3} C. {x|x<1或x>3} D. {x|10)取得最大值的最优解有无穷多个,则a的值是( )A. 32 B. 21 C.2 D. 235.已知1273,023yxyx则的最小值是 ( )A. 3 93 B. 221 C. 6 D. 76.已知不等式250axxb的解集为{ | 32}xx,则不等式250bxxa的解集为( )A.11{ |}32xx B.11{ |}32x xx 或 C.{ | 32}xx D.{ |32}x xx 或7.等差数列 na中,12010 S ,那么29aa的值是 ( ) A 12 B 24 C 16 D 488.若 a>b,Rc ,则下列命题中成立的是( )A.bcac  B.1ba C.22bcac  D.ba11 9.设10 a,则关于 x 的不等式 01axaxa的解集是 ( )A.axaxx1|或 B.axx|C.axaxx1|或 D. axx1|10.若关于 x 的不等式|x+2|+|x-1|<a 的解集是 ,则 a 的取值范围是( )A.(3,+∞)B.[3,+∞)C.(-∞,3]D.(-∞,3)11.已知 x2+y2=4,则22 yxxy的最小值为( )A.-2B.-34C.2-22D.2+2212.设 f(x)=|lgx|,若 0<a<b<c,且 f(a)>f(c)>f(b),则下列关系正确的是( )A.ac+1<a+cB.ac+1>a+cC.ac+1=a+cD.ac>1二.填空题(共 4 个小题,每小题 5 分,共 20 分)13.若关于x的不等式342xxax>0的解集为{x|-32},则a= .14.已知x>2,则y=21 xx的最小值是 .15.若数列{}na满足:111,2()nnaaa nN ,则5a  .(用数字作答)16.函数 f(x)、g(x)的定义域为 R,且 f(x)≥0 的解集为{x|1≤x<2},g(x)≥0 的解集为 ,则不等式 f(x)·g(x)>0 的解集为 .三.解答题(共 6 个大题,其中 17 题 10 分, 18-22 每道题 12 分)17.设 x、y、z∈R,比较 5x2+y2+z2与 2xy+4x+2z-2 的大小.18.当 P 为何值时,对任意实数...

1、当您付费下载文档后,您只拥有了使用权限,并不意味着购买了版权,文档只能用于自身使用,不得用于其他商业用途(如 [转卖]进行直接盈利或[编辑后售卖]进行间接盈利)。
2、本站所有内容均由合作方或网友上传,本站不对文档的完整性、权威性及其观点立场正确性做任何保证或承诺!文档内容仅供研究参考,付费前请自行鉴别。
3、如文档内容存在违规,或者侵犯商业秘密、侵犯著作权等,请点击“违规举报”。

碎片内容

辽宁省抚顺一中高二数学上学期12月考试(文) 新人教版考试卷

远洋启航书店+ 关注
实名认证
内容提供者

从事历史教学,热爱教育,高度负责。

确认删除?
VIP
微信客服
  • 扫码咨询
会员Q群
  • 会员专属群点击这里加入QQ群
客服邮箱
回到顶部