电脑桌面
添加小米粒文库到电脑桌面
安装后可以在桌面快捷访问

完整版数与式专项练习题VIP免费

完整版数与式专项练习题_第1页
1/3
完整版数与式专项练习题_第2页
2/3
完整版数与式专项练习题_第3页
3/3
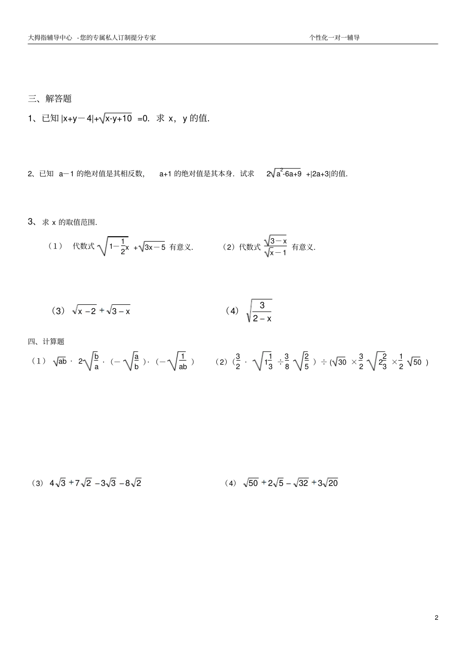
大拇指辅导中心 -您的专属私人订制提分专家个性化一对一辅导1 数与式专项练习题一、选择题1.在代数式 a-1-2a+a2 中,若 a=5, 则此代数式的值为()A.- 1 B.1 C.9 D.11 2.下列说法正确的是()A.-4 表示- 4 的平方根B.4 的平方根是 2 C.2 是 4 的平方根D.16 的平方根是± 4 3.下列说法中,错误的是()A.15 是(-15)2 的算术平方根B.15 是(-15)2的平方根C.- 15 是 225 的算术平方根D.-15 是 225 的平方根4.若一个数的算术平方根与它的立方根的值相同,则这个数是()A. 1 B.0 和 1 C.0 D.非负数5.说法中 ,正确的是 ( ) A.一个数的正的平方根是算术平方根B.一个非负数的非负平方根是算术平方根C.一个正数的平方根是算术平方根D.一个不等于 0 的数的正的平方根是算术平方根6.若 a 是(-3)2 的平方根,则3 a =( ) A.- 3 B.3 +3 C.3 3 或-3 3 D. 3 和-3 7.若 x>y,则根式 (y-x) 1x-y 化简的结果是()A.x+y B.-x-y C.-y-x D.x-y 8.如果-a(x2+1) 是二次根式,那么()A. a≤0 B.a≥0 C.x<0 D.x>0 9.计算:(2-3)2 +(3-2)2 的结果是 ( ) A. 0 B.2(3 -2 ) C.2(2 -3 ) D.2(5 -6 ) 10.若 1≤x≤ 5,那么(x -1)2 +|5-x|等于 ( ) A. 6-2x B.2x-6 C. 4 D.- 4 11、下列各数3 -8 ,57 ,0.131131113,2564 ,0.121212⋯,3 ,其中无理数有()A. 1 个B. 2 个C.3 个D.4 个二、填空题1.正数 a 的平方根有个,用符号表示可以写成,它们互为.2.3 5 是的立方根 , 的立方根是- 3.3.若 a≠0,则 a4 的平方根有个,它们是.4. 若 a 的一个平方根是 b,那么它的另一个平方根是,5.0.36 的算术平方根是,3 的算术平方根是.6.N 为正整数,当n=时,an-3 为最简根式.7.|3-π |+(π -4)2 = .8.3 -64 =,3 0.125 =,3 0.001 =.大拇指辅导中心 -您的专属私人订制提分专家个性化一对一辅导2 三、解答题1、已知 |x+y-4|+ x-y+10 =0.求 x,y 的值.2、已知 a-1 的绝对值是其相反数,a+1 的绝对值是其本身.试求2 a2-6a+9 +|2a+3|的值.3、求 x 的取值范围.(1)代数式1-12x +3x-5 有意义.(2)代数式3-xx-1 有意义.(3)xx32(4)x23四、计算题(1)ab ·2ba · (-ab )· (-1ab )(2)(32 ·113 ÷3825 )÷ (30 ×32223 ×1250 ) (3)28332734(4)203325250大拇指辅导中心 -您的专属私人订制提分专家个性化一对一辅导3 (5)32712( 6)213

1、当您付费下载文档后,您只拥有了使用权限,并不意味着购买了版权,文档只能用于自身使用,不得用于其他商业用途(如 [转卖]进行直接盈利或[编辑后售卖]进行间接盈利)。
2、本站所有内容均由合作方或网友上传,本站不对文档的完整性、权威性及其观点立场正确性做任何保证或承诺!文档内容仅供研究参考,付费前请自行鉴别。
3、如文档内容存在违规,或者侵犯商业秘密、侵犯著作权等,请点击“违规举报”。

碎片内容

完整版数与式专项练习题

确认删除?
VIP
微信客服
  • 扫码咨询
会员Q群
  • 会员专属群点击这里加入QQ群
客服邮箱
回到顶部