电脑桌面
添加小米粒文库到电脑桌面
安装后可以在桌面快捷访问

浙大版概率论与数理统计答案第四章VIP免费

浙大版概率论与数理统计答案第四章_第1页
1/11
浙大版概率论与数理统计答案第四章_第2页
2/11
浙大版概率论与数理统计答案第四章_第3页
3/11
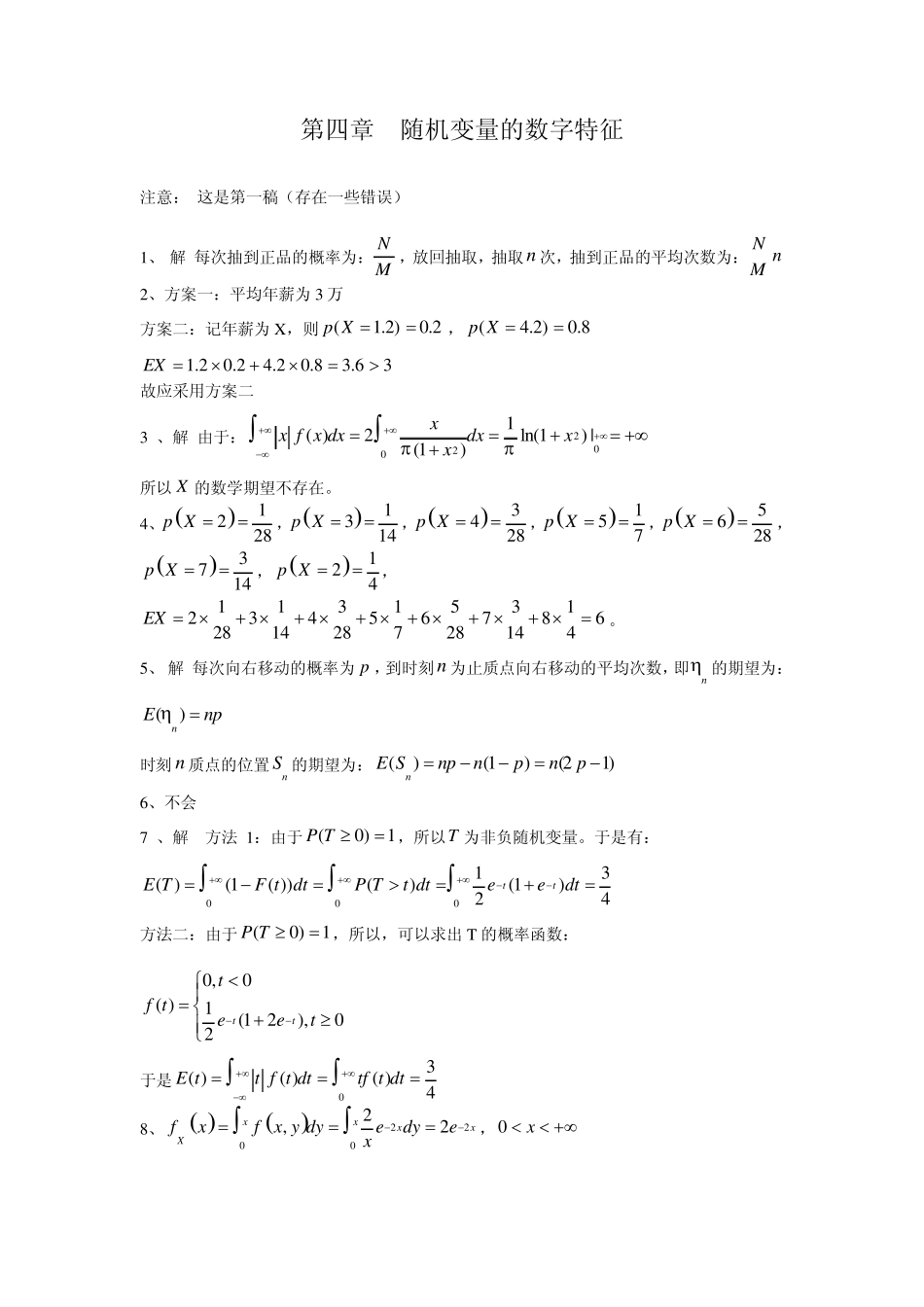
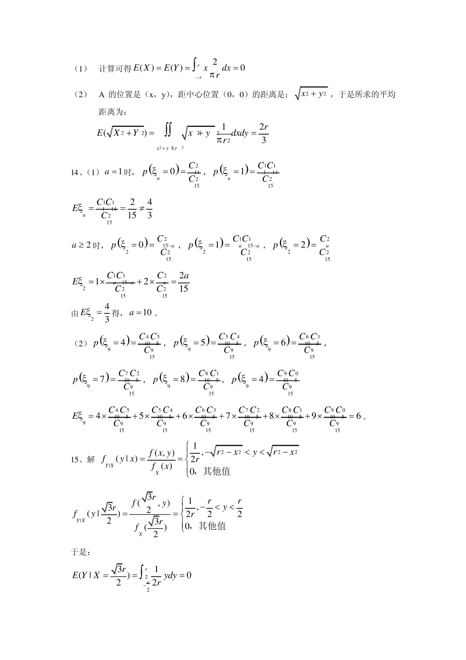
第四章 随机变量的数字特征 注意: 这是第一稿(存在一些错误) 1、 解 每次抽到正品的概率为:NM ,放回抽取,抽取n 次,抽到正品的平均次数为:N nM 2、方案一:平均年薪为 3 万 方案二:记年薪为 X,则(1.2)0.2p X ,(4.2)0.8p X  1.20.24.20.83.63EX  故应采用方案二 3 、解 由于:20201( )2ln(1) |(1)xx f x dxdxxx  所以 X 的数学期望不存在。 4、 1228p X , 1314p X , 3428p X , 157p X , 5628p X ,3714p X , 124p X , 113153123456786281428728144EX       。 5、 解 每次向右移动的概率为 p ,到时刻n 为止质点向右移动的平均次数,即n 的期望为: ()nEnp 时刻 n 质点的位置nS 的期望为:()(1)(21)nE Snpnpnp 6、不会 7 、解 方法 1:由于(0)1P T  ,所以T 为非负随机变量。于是有: 00013( )(1( ))()(1)24ttE TF t dtP Tt dteedt 方法二:由于(0)1P T  ,所以,可以求出 T 的概率函数: 0,0( )1(12),02tttf teet  于是03( )( )( )4E tt f t dttf t dt 8、 22002,2xxxxXfxfx y dyedyex,0x  (1) 200122xXEXx fx dxx edx (2)131312EXEX  (3)20021,,4xxE X Yx y fx y dx dyx yedy dxx  。 9.解 设棍子上的点是在[0,1]之间的,Q 点的位置距离端点0 的长度为q。设棍子是在t点处跌断,t服从[0,1]的均匀分布。于是:包含Q 点的棍子长度为T,则: ,11,0min( ,1),t qtTttqqq tq  , 1qt  于是包Q 点的那一段棍子的平均长度为: 112001( )(1)2qqE TTdxt dttdtqq 10、8,9XU,8,9YU 99881,3E XYxy fx y dx dy 小时 即先到的人等待的平均时间为20 分钟。 11、解 (I)每个人化验一次,需要化验 500 次 (II)分成 k 组,对每一组进行化验一共化验 500k次,每组化验为阳性的概率为:10.7k...

1、当您付费下载文档后,您只拥有了使用权限,并不意味着购买了版权,文档只能用于自身使用,不得用于其他商业用途(如 [转卖]进行直接盈利或[编辑后售卖]进行间接盈利)。
2、本站所有内容均由合作方或网友上传,本站不对文档的完整性、权威性及其观点立场正确性做任何保证或承诺!文档内容仅供研究参考,付费前请自行鉴别。
3、如文档内容存在违规,或者侵犯商业秘密、侵犯著作权等,请点击“违规举报”。

碎片内容

浙大版概率论与数理统计答案第四章

您可能关注的文档

确认删除?
VIP
微信客服
  • 扫码咨询
会员Q群
  • 会员专属群点击这里加入QQ群
客服邮箱
回到顶部