电脑桌面
添加小米粒文库到电脑桌面
安装后可以在桌面快捷访问

工程力学第9章习题VIP免费

工程力学第9章习题_第1页
1/11
工程力学第9章习题_第2页
2/11
工程力学第9章习题_第3页
3/11
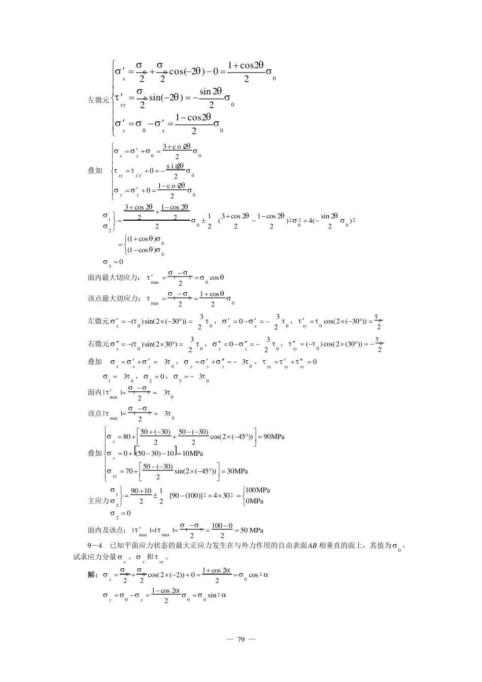
— 78 — 习题 9-1 图 x15-'xx 'y 'x '1.25MPa15 (b-1) 15a4MP15-y 'x 'x 'x 'a1.6MPx (a-1) 习题 9-2 图 习题 9-2 图 yxx y= yxx yx= yxx yx= 302MPa0.5MPa-60x ''x (a) ''yx 第 9 章 应力状态分析 9-1 木制构件中的微元受力如图所示,其中所示的角度为木纹方向与铅垂方向的夹角。试求: 1.面内平行于木纹方向的切应力; 2.垂直于木纹方向的正应力。 解:(a)平行于木纹方向切应力 6.0))15(2cos(0))15(2sin(2)6.1(4yxMPa 垂直于木纹方向正应力 84.30))15(2cos(2)6.1(42)6.1(4xMPa (b)切应力 08.1))15(2cos(25.1yxMPa 正应力 625.0))15(2sin()25.1(xMPa 9-2 层合板构件中微元受力如图所示,各层板之间用胶粘接,接缝方向如图中所示。若已知胶层切应力不得超过 1MPa。试分析是否满足这一要求。 解:55.1))60(2cos(5.0))60(2sin(2)1(2yxMPa 1MPa55.1||yxMPa,不满足。 9-3 结构中某点处的应力状态为两种应力状态的叠加结果。试求叠加后所得应力状态的主应力、面内最大切应力和该点处的最大切应力。 解: — 79 — 左微元000000022cos122sin)2sin(222cos10)2cos(22xyxyx 叠加 000022c o s1022s i n022c o s3yyyxxyxx 0)cos1()cos1( )22sin(4)22cos122cos3(21222cos122cos330020202021 面内最大切应力:cos2021max 该点最大切应力:031max2cos12 左微元0023))30(2sin()(x,0230xy,2))30(2cos(00xy 右微元0023)302sin()(x,0230xy,2))30(2cos()(00xy 叠加 03yxx,03yyy,0xyxyxy 013 ,02 ,033 面内031max32|| 该点031max32||...

1、当您付费下载文档后,您只拥有了使用权限,并不意味着购买了版权,文档只能用于自身使用,不得用于其他商业用途(如 [转卖]进行直接盈利或[编辑后售卖]进行间接盈利)。
2、本站所有内容均由合作方或网友上传,本站不对文档的完整性、权威性及其观点立场正确性做任何保证或承诺!文档内容仅供研究参考,付费前请自行鉴别。
3、如文档内容存在违规,或者侵犯商业秘密、侵犯著作权等,请点击“违规举报”。

碎片内容

工程力学第9章习题

确认删除?
VIP
微信客服
  • 扫码咨询
会员Q群
  • 会员专属群点击这里加入QQ群
客服邮箱
回到顶部