电脑桌面
添加小米粒文库到电脑桌面
安装后可以在桌面快捷访问

2002年1月至2014年5月上海车牌拍卖情况VIP免费

2002年1月至2014年5月上海车牌拍卖情况_第1页
1/6
2002年1月至2014年5月上海车牌拍卖情况_第2页
2/6
2002年1月至2014年5月上海车牌拍卖情况_第3页
3/6
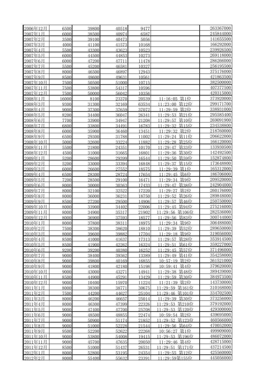
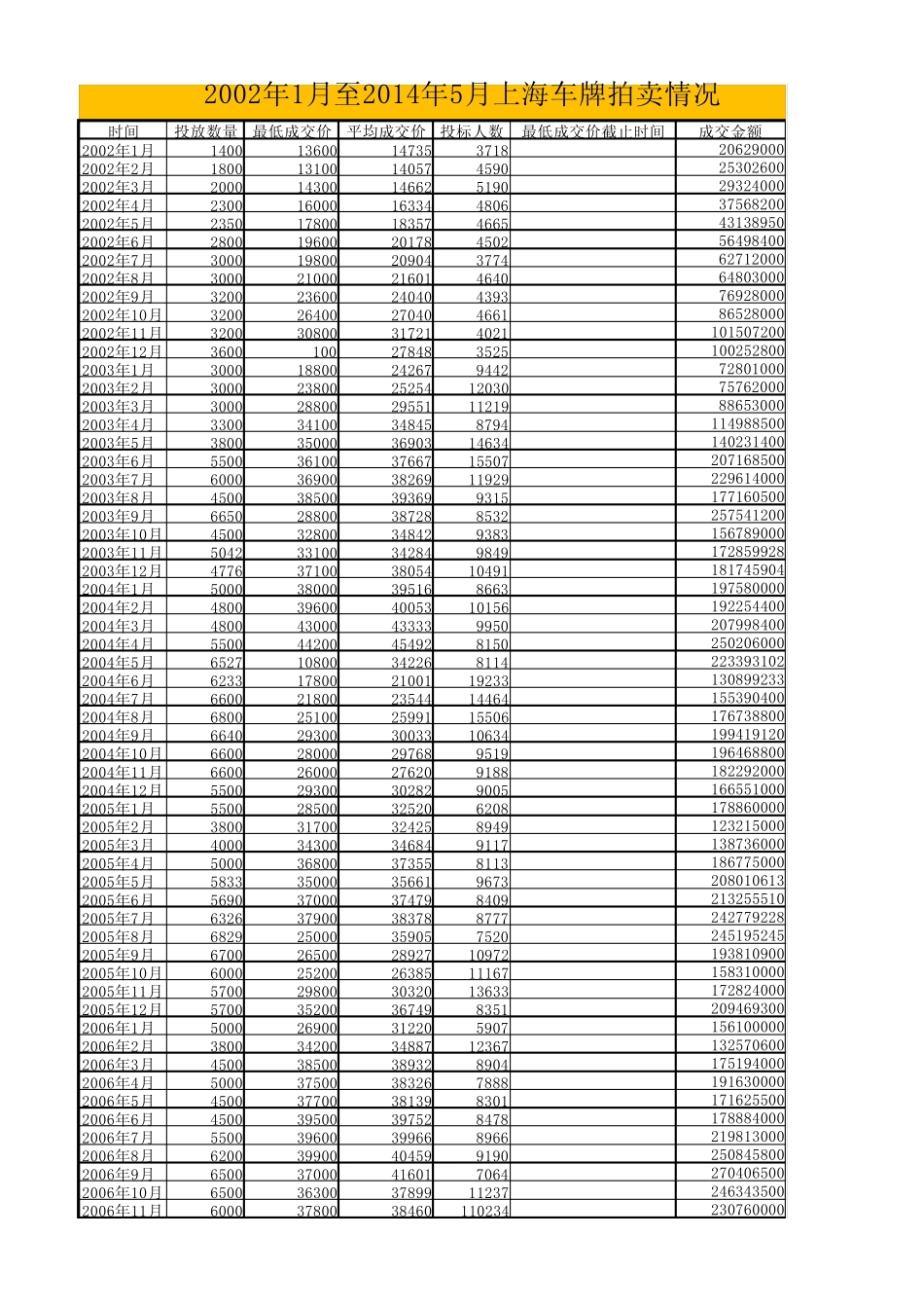
时间投放数量最低成交价平均成交价投标人数最低成交价截止时间成交金额2002年1月 140013600147353718206290002002年2月 180013100140574590253026002002年3月 200014300146625190293240002002年4月 230016000163344806375682002002年5月 235017800183574665431389502002年6月 280019600201784502564984002002年7月 300019800209043774627120002002年8月 300021000216014640648030002002年9月 320023600240404393769280002002年10月320026400270404661865280002002年11月3200308003172140211015072002002年12月36001002784835251002528002003年1月 300018800242679442728010002003年2月 3000238002525412030757620002003年3月 3000288002955111219886530002003年4月 3300341003484587941149885002003年5月 38003500036903146341402314002003年6月 55003610037667155072071685002003年7月 60003690038269119292296140002003年8月 4500385003936993151771605002003年9月 6650288003872885322575412002003年10月4500328003484293831567890002003年11月5042331003428498491728599282003年12月47763710038054104911817459042004年1月 5000380003951686631975800002004年2月 48003960040053101561922544002004年3月 4800430004333399502079984002004年4月 5500442004549281502502060002004年5月 6527108003422681142233931022004年6月 62331780021001192331308992332004年7月 66002180023544144641553904002004年8月 68002510025991155061767388002004年9月 66402930030033106341994191202004年10月6600280002976895191964688002004年11月6600260002762091881822920002004年12月5500293003028290051665510002005年1月 5500285003252062081788600002005年2月 3800317003242589491232150002005年3月 4000343003468491171387360002005年4月 5000368003735581131867750002005年5月 5833350003566196732080106132005年6月 5690370003747984092132555102005年7月 6326379003837887772427792282005年8月 6829250003590575202451952452005年9月 67002650028927109721938109002005年10月60002520026385111671583100002005年11月57002980030320136331728240002005年12月5700352003674983512094693002006年1月 5000269003122059071561000002006年2月 38003420034887123671325706002006年3月 4500385003893289041751940002006...

1、当您付费下载文档后,您只拥有了使用权限,并不意味着购买了版权,文档只能用于自身使用,不得用于其他商业用途(如 [转卖]进行直接盈利或[编辑后售卖]进行间接盈利)。
2、本站所有内容均由合作方或网友上传,本站不对文档的完整性、权威性及其观点立场正确性做任何保证或承诺!文档内容仅供研究参考,付费前请自行鉴别。
3、如文档内容存在违规,或者侵犯商业秘密、侵犯著作权等,请点击“违规举报”。

碎片内容

2002年1月至2014年5月上海车牌拍卖情况

小辰8+ 关注
实名认证
内容提供者

出售各种资料和文档

确认删除?
VIP
微信客服
  • 扫码咨询
会员Q群
  • 会员专属群点击这里加入QQ群
客服邮箱
回到顶部