电脑桌面
添加小米粒文库到电脑桌面
安装后可以在桌面快捷访问

MYP等矿用电缆结构尺寸及主要技术参数VIP免费

MYP等矿用电缆结构尺寸及主要技术参数_第1页
1/31
MYP等矿用电缆结构尺寸及主要技术参数_第2页
2/31
MYP等矿用电缆结构尺寸及主要技术参数_第3页
3/31
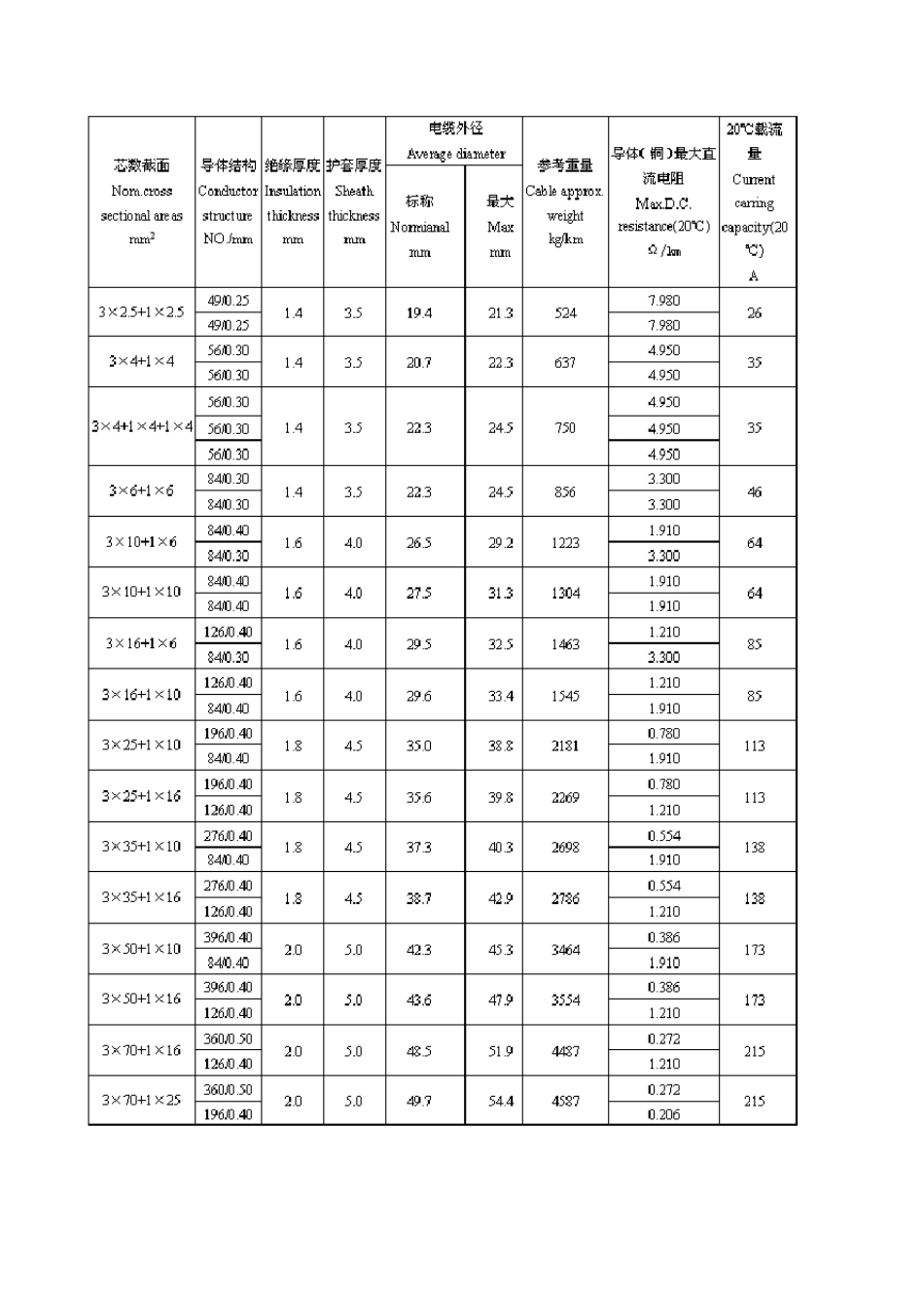
结构尺寸及主要技术参数Construction and main technical data ● 矿用移动橡套软电缆 Flexible rubber-sheathed cables for mining purposes 型号(Type):U 额定电压(Rating Voltage):1000V 备注: 1、电缆绝缘主线芯之间及主线芯与地线之间的绝缘电阻,换算到+20℃时不低于100MΩ·km。 2、产品标准:Q/320282DCE037-2003。 3、U 型电缆有 4 芯和 5 芯两种结构,有 3 根主线芯和一根地线芯组成(5 芯电缆中有一芯为控制线),围绕垫芯绞合成缆,外面挤包氯化聚乙烯橡皮护套或黑色氯丁橡皮护套。 4、导电线芯:采用软铜线,其性能符合 GB/T3956-1997。 5、绝缘:采用 GB7594.2-1987 中 XJ-00A 型橡皮。 6、线芯识别:采用绝缘分色识别,主线芯红、绿、白。地线黑色,控制线白色。 7、成缆:主线芯、地线、控制线围绕橡皮垫芯按右向绞合成缆。 8、护套:采用 GB7594.7-1987 中 XH-03A 型橡皮。 9、普通型 U 型成品电缆具有不延燃性能,阻燃型 U 型成品电缆的阻燃性能满足 MT386-1995 的要求。 10、电缆标志:电缆表面印有型号、电压、规格及制造厂名称。 结构尺寸及主要技术参数 Construction and main technical data ● 矿用移动橡套软电缆 Flexible rubber-sheathed cables for mining purposes 型号(Type):MY 额定电压(Rating Voltage):380/660V 芯数截面 Nom.cross sectional areas mm2 导体结构 Conductor structure NO./mm 绝缘厚度 Insulation thickness mm 护套厚度 Sheath thickness mm 电缆外径 Average diameter 参考重量 Cable approx. weight kg/km 导体(铜)最大直流电阻 Max.D.C. resistance(20 ℃ ) Ω /km 20 ℃载流量 Current carring capacity(20 ℃ ) A 标称 Normianal mm 最大 Max mm 3 × 4+1 × 4 56/0.30 1.4 3.5 20.9 23.0 637 4.950 35 56/0.30 4.950 3 × 6+1 × 6 84/0.30 1.4 3.5 22.9 25.1 856 3.300 46 84/0.30 3.300 3 × 10+1 × 10 84/0.40 1.6 4.0 27.8 30.6 1304 1.910 64 84/0.40 1.910 3 × 16+1 × 10 126/0.40 1.6 4.0 30.3 33.3 1545 1.210 85 84/0.40 1.910 3 × 25+1 × 16 196/0.40 1.8 4.5 36.4 40.1 2269 0.780 113 126/0.40 1.210 3 × 35+1 × 16 276/0.40 1.8 4.5 40.5 44.6 2786 0.554...

1、当您付费下载文档后,您只拥有了使用权限,并不意味着购买了版权,文档只能用于自身使用,不得用于其他商业用途(如 [转卖]进行直接盈利或[编辑后售卖]进行间接盈利)。
2、本站所有内容均由合作方或网友上传,本站不对文档的完整性、权威性及其观点立场正确性做任何保证或承诺!文档内容仅供研究参考,付费前请自行鉴别。
3、如文档内容存在违规,或者侵犯商业秘密、侵犯著作权等,请点击“违规举报”。

碎片内容

MYP等矿用电缆结构尺寸及主要技术参数

您可能关注的文档

小辰7+ 关注
实名认证
内容提供者

出售各种资料和文档

确认删除?
VIP
微信客服
  • 扫码咨询
会员Q群
  • 会员专属群点击这里加入QQ群
客服邮箱
回到顶部