电脑桌面
添加小米粒文库到电脑桌面
安装后可以在桌面快捷访问

sap系统关于系统登录和密码的主要参数设置VIP免费

sap系统关于系统登录和密码的主要参数设置_第1页
1/7
sap系统关于系统登录和密码的主要参数设置_第2页
2/7
sap系统关于系统登录和密码的主要参数设置_第3页
3/7
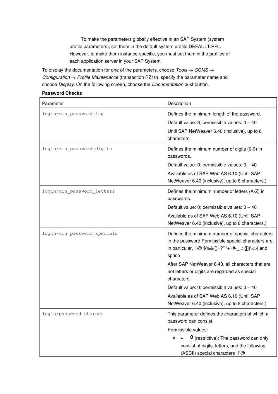
To make the parameters globally effective in an SAP System (system profile parameters), set them in the default system profile DEFAULT.PFL. However, to make them instance-specific, you must set them in the profiles of each application server in your SAP System. To display the documentation for one of the parameters, choose Tools  CCMS  Configuration  Profile Maintenance (transaction RZ10), specify the parameter name and choose Display. On the following screen, choose the Documentation pushbutton. Passw ord Checks Parameter Description login/min_password_lng Defines the minimum length of the password. Default value: 3; permissible values: 3 – 40 Until SAP NetWeaver 6.40 (inclusive), up to 8 characters. login/min_password_digits Defines the minimum number of digits (0-9) in passwords. Default value: 0; permissible values: 0 – 40 Available as of SAP Web AS 6.10 (Until SAP NetWeaver 6.40 (inclusive), up to 8 characters.) login/min_password_letters Defines the minimum number of letters (A-Z) in passwords. Default value: 0; permissible values: 0 – 40 Available as of SAP Web AS 6.10 (Until SAP NetWeaver 6.40 (inclusive), up to 8 characters.) login/min_password_specials Defines the minimum number of special characters in the password Permissible special characters are, in particular, !"@ $%&/()=?'`*+~ #-_.,;:{[]}\<>| and space After SAP NetWeaver 6.40, all characters that are not letters or digits are regarded as special characters. Default value: 0; permissible values: 0 – 40 Available as of SAP Web AS 6.10 (Until SAP NetWeaver 6.40 (inclusive), up to 8 characters.) login/password_charset This parameter defines the characters of which a password can consist. Permissible values: ▪ • 0 (restrictive): The pass...

1、当您付费下载文档后,您只拥有了使用权限,并不意味着购买了版权,文档只能用于自身使用,不得用于其他商业用途(如 [转卖]进行直接盈利或[编辑后售卖]进行间接盈利)。
2、本站所有内容均由合作方或网友上传,本站不对文档的完整性、权威性及其观点立场正确性做任何保证或承诺!文档内容仅供研究参考,付费前请自行鉴别。
3、如文档内容存在违规,或者侵犯商业秘密、侵犯著作权等,请点击“违规举报”。

碎片内容

sap系统关于系统登录和密码的主要参数设置

确认删除?
VIP
微信客服
  • 扫码咨询
会员Q群
  • 会员专属群点击这里加入QQ群
客服邮箱
回到顶部