电脑桌面
添加小米粒文库到电脑桌面
安装后可以在桌面快捷访问

中考一元二次方程专题知识点归纳经典题型VIP免费

中考一元二次方程专题知识点归纳经典题型_第1页
1/6
中考一元二次方程专题知识点归纳经典题型_第2页
2/6
中考一元二次方程专题知识点归纳经典题型_第3页
3/6
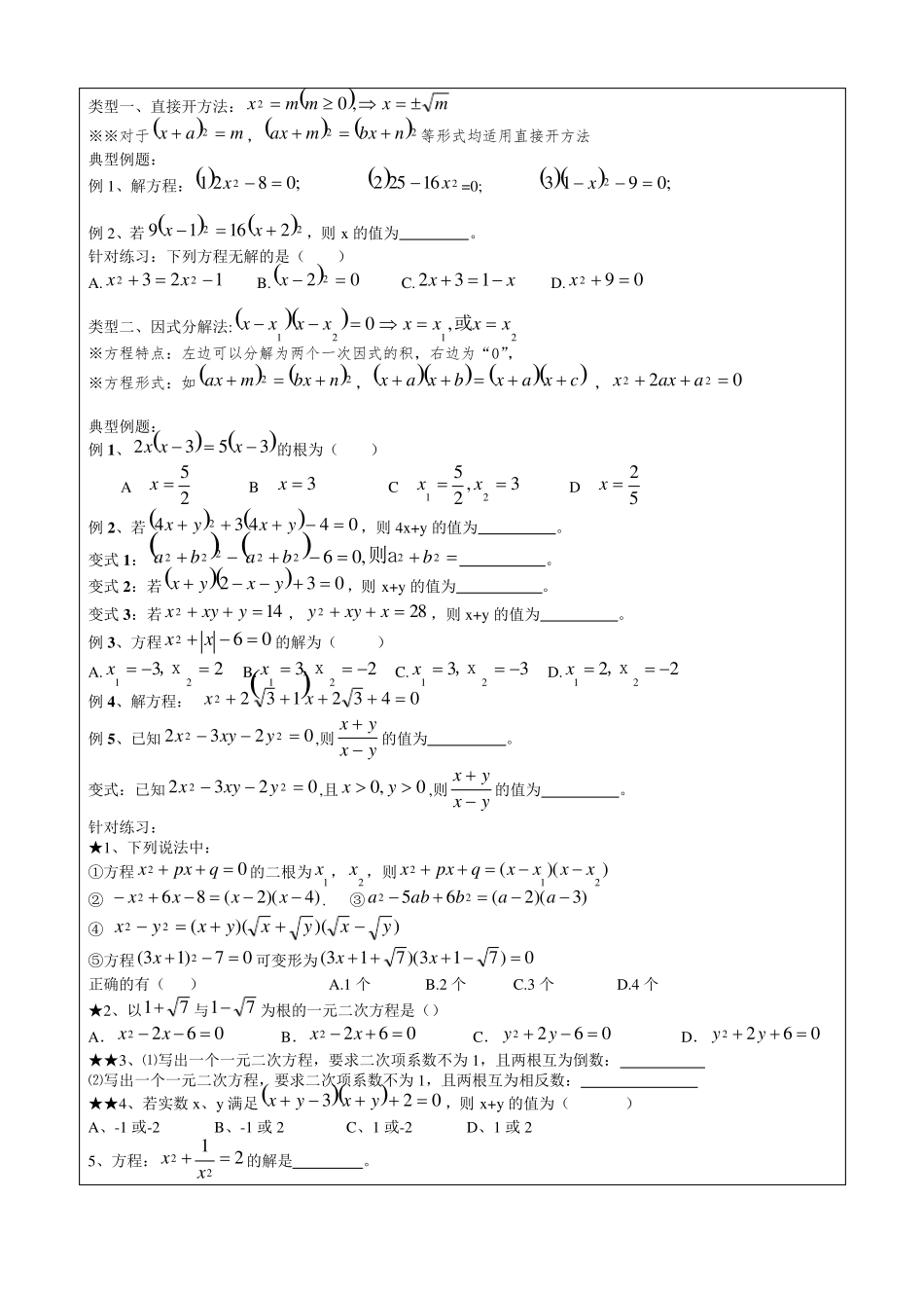
中考一元二次方程专题知识点归纳经典题型 考点一、概念 (1)定义:①只含有一个未知数........,并且②未知数的最高次数是.........2.,这样的③整式方程....就是一元二次方程。 (2)一般表达式:)0(02acbxax ⑶难点:如何理解 “未知数的最高次数是2”: ①该项系数不为“0”; ②未知数指数为“2”; ③若存在某项指数为待定系数,或系数也有待定,则需建立方程或不等式加以讨论。 典型例题: 例1、下列方程中是关于x的一元二次方程的是( ) A 12132xx B 02112 xx C 02cbxax D 1222xxx 变式:当k 时,关于x的方程3222xxkx是一元二次方程。 例2、方程0132mxxmm是关于x的一元二次方程,则m 的值为 。 针对练习: ★1、方程 782 x的一次项系数是 ,常数项是 。 ★2、若方程021 mxm是关于x的一元一次方程, ⑴求 m 的值;⑵写出关于x的一元一次方程。 ★★3、若方程112•xmxm是关于x的一元二次方程,则m 的取值范围是 。 ★★★4、若方程nxm+xn-2x2=0 是一元二次方程,则下列不可能的是( ) A.m=n=2 B.m=2,n=1 C.n=2,m=1 D.m=n=1 考点二、方程的解 ⑴概念:使方程两边相等的未知数的值,就是方程的解。 ⑵应用:利用根的概念求代数式的值; 典型例题: 例1 、已知322 yy的值为2,则1242yy的值为 。 例2 、关于x的一元二次方程04222axxa的一个根为0,则a 的值为 。 例3 、已知关于x 的一元二次方程002acbxax的系数满足bca,则此方程必有一根为 。 例4 、已知ba,是方程042mxx的两个根,cb,是方程0582myy的两个根, 则m 的值为 。 针对练习: ★1、已知方程0102 kxx的一根是2,则k 为 ,另一根是 。 ★2、已知关于x的方程022 kxx的一个解与方程 311 xx的解相同。 ⑴求 k 的值; ⑵方程的另一个解。 ★3、已知m 是方程012 xx的一个根,则代数式 mm2 。 ★★4、已知a 是0132 xx的根,则 aa622 。 ★★5、方程02acxcbxba的一个根为( ) A 1 B 1 C cb  D a ★★★6、若•yx则yx324,0352 。 考点三、解法 ⑴方法:①直接开方法;②因式分解法;③配方法;④公式法 ⑵关键点:降次 类型一、直接开方法...

1、当您付费下载文档后,您只拥有了使用权限,并不意味着购买了版权,文档只能用于自身使用,不得用于其他商业用途(如 [转卖]进行直接盈利或[编辑后售卖]进行间接盈利)。
2、本站所有内容均由合作方或网友上传,本站不对文档的完整性、权威性及其观点立场正确性做任何保证或承诺!文档内容仅供研究参考,付费前请自行鉴别。
3、如文档内容存在违规,或者侵犯商业秘密、侵犯著作权等,请点击“违规举报”。

碎片内容

中考一元二次方程专题知识点归纳经典题型

您可能关注的文档

确认删除?
VIP
微信客服
  • 扫码咨询
会员Q群
  • 会员专属群点击这里加入QQ群
客服邮箱
回到顶部