电脑桌面
添加小米粒文库到电脑桌面
安装后可以在桌面快捷访问

广东海洋大学第二学期高数试题与答案VIP免费

广东海洋大学第二学期高数试题与答案_第1页
1/21
广东海洋大学第二学期高数试题与答案_第2页
2/21
广东海洋大学第二学期高数试题与答案_第3页
3/21
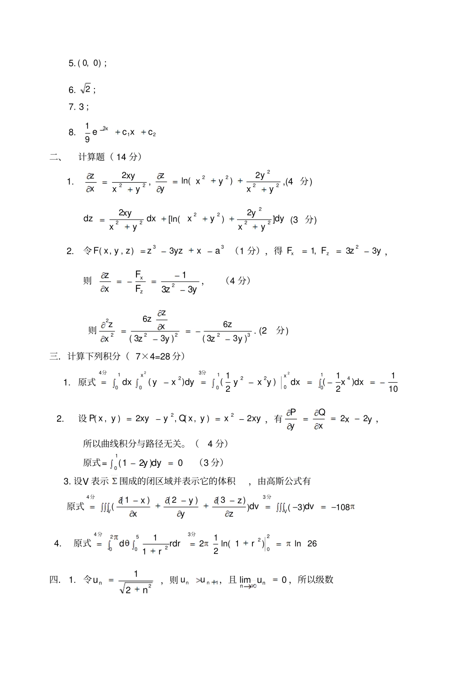
广东海洋大学2014— 2015 学年第 二 学期《 高 等 数 学 》课程试题课程号:考试A 卷闭卷□考查□B 卷□ 开卷题号一二三四五六七八九十总分阅卷教师各题分数24 14 28 28 6 100 实得分数一 . 填空( 3×8=24 分)1. 设1,2,1a,0,1,xb,ba,则 x2. 设1,0,2a,0,1,0b,则ba3. 曲面222yxz在点)2,1,1(处的切平面方程为4. 将 xoz 平面上的曲线1422zx绕 x 轴旋转一周所得的旋转曲面的方程为5. 函数)3ln(22yxz的驻点为6. 设 L 为连接)0,1(到点)1,0(的直线段,则dsxyL)(7. 幂级数1 3nnnx的收敛半径为8. 微分方程xey3 的通解为 y二 . 计算题( 7×2=14分)1. 设)ln(22yxyz,求dz .2. 设函数),(yxfz是由方程333axyzz所确定的具有连续偏导数的函数,求22,xzxz. 姓名:学号:试题共页加白纸张密封线GDOU-B-11-302三 . 计算下列积分( 7×4=28 分)1.dxdyxyD)(2,其中 D 是由0y, 2xy及1x所围成的闭区域。2. 证明曲线积分dyxyxdxyxy)2()2(2)1,1()0.0(2在整个 xoy 平面内与路径无关,并计算积分值。 3. 计算dxdyzdzdxydydzx)3()2()1(, 其 中是球 面9222zyx的外侧。4. 计算dxdyyxD2211,其中 D 是由2522yx围成的闭区域。四 . 计算题( 7×4=28分)1. 判别级数2121)1(nnn是否收敛 ? 若收敛,是绝对收敛还是条件收敛? 2. 将函数31)(xxf展开为 x 的幂级数。3. 求微分方程62ydxdy满足初始条件20xy的特解。4. 求微分方程xeyy的通解。五. 证明000)()()(ydxxfxdxxfdy(6 分)2014-2015 学年第二学期《高等数学》 A 卷(参考答案及评分标准课程号: 19221101×2一、填空( 3×8=24 分)1. 2;2. 2,0,1;3.02zyx;4. 4.14222zyx;5.)0,0(;6.2 ;7. 3 ;8. 21391cxcex二、计算题( 14 分)1.222yxxyxz,222222)ln(yxyyxyz,(4 分) dyyxyyxdxyxxydz]2)[ln(22222222 (3 分) 2.令),,(zyxF333axyzz(1 分),得yzFFzx33,12,则yzFFxzzx3312,(4 分)则322222)33(6)33(6yzzyzxzzxz. (2分) 三.计算下列积分( 7×4=28 分)1.原式101)21()21()(41001022分32010分422dxxdxyxydyxydxxx 2. 设xyxyxQyxyyxP2),(,2),(22,有yxxQyP22,所以曲线积分与路径无关。(4 分)原式=0)21(10dyy(3 分)3. 设V 表示围成的闭区域并表示它的体积,由高斯公式有原式VVdvdvzzyyxx108)3())3()2()1((分3分4 4. 原式26ln)1ln(21211202分320502分4rrdrrd四. 1. 令221nun,则1`nnuu,...

1、当您付费下载文档后,您只拥有了使用权限,并不意味着购买了版权,文档只能用于自身使用,不得用于其他商业用途(如 [转卖]进行直接盈利或[编辑后售卖]进行间接盈利)。
2、本站所有内容均由合作方或网友上传,本站不对文档的完整性、权威性及其观点立场正确性做任何保证或承诺!文档内容仅供研究参考,付费前请自行鉴别。
3、如文档内容存在违规,或者侵犯商业秘密、侵犯著作权等,请点击“违规举报”。

碎片内容

广东海洋大学第二学期高数试题与答案

爱的疯狂+ 关注
实名认证
内容提供者

该用户很懒,什么也没介绍

相关文档

确认删除?
VIP
微信客服
  • 扫码咨询
会员Q群
  • 会员专属群点击这里加入QQ群
客服邮箱
回到顶部