电脑桌面
添加小米粒文库到电脑桌面
安装后可以在桌面快捷访问

分式计算题100VIP免费

分式计算题100_第1页
1/9
分式计算题100_第2页
2/9
分式计算题100_第3页
3/9
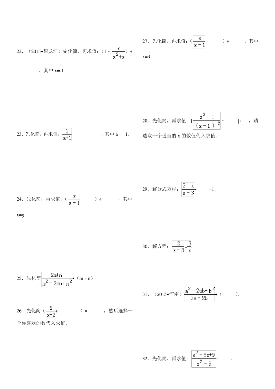
1.先化简,再求值:﹣, 2.先化简,再求值:1﹣÷,其中x、y 满足|x﹣2|+(2x﹣y﹣3)2=0. 3.先化简,再求值:÷(1﹣ ), 4.(2015•遵义)先化简,再求值:,其中a=2. 5.先化简,再求值:[﹣]+[1+],其中a=-1,b=2. 6.先化简,再求值:(1﹣)÷,其中x=﹣1. 7.化简求值: ÷(﹣a),其中a=﹣2. 8.先化简,再求值:(x﹣2+)÷,其中x=(π﹣2015)0+()﹣1. 9.先化简,再求值:÷﹣, 其中x=﹣1. 10.(2015•广州)已知 A=﹣ (1)化简A; (2)当 x 满足不等式组,且 x 为整数时,求A 的值. 11.÷, 12.化简求值:[﹣]•,其中x=-1. 13.先化简,再求值:(1﹣)÷,其中x=-1. 14.先化简÷(a﹣2+),然后从﹣2,﹣1,1,2 四个数中选择一个合适的数作为 a 的值代入求值. 15.(2015•阜新)先化简,再求值:(a﹣)÷,其中a=+1. 16.(2015•朝阳)先化简,再求值:(1+),其中a=﹣3. 17.先化简,再求值:,其中x=﹣1. 18 先化简,再求值:(1﹣)÷,从﹣1,2,3中选择一个适当的数作为 x 值代入. 19.先化简,再求值: ﹣,其中a=1 . 20.先化简,再求值:(﹣)•,其中x=4. 21 先化简,再求值:(+)÷,其中a 满足 a2﹣4a﹣1=0. 22.(2015• 黑龙江)先化简,再求值:(1﹣)÷,其中x=-1 23.先化简,再求值:﹣,其中a=﹣1. 24.先化简,再求值:(﹣)÷,其中x=9. 25.先化简• (m﹣n) 26.先化简(+)×,然后选择一个你喜欢的数代入求值. 27.先化简,再求值:(﹣)÷,其中x=3. 28.先化简,再求值:[﹣]÷,请选取一个适当的 x的数值代入求值. 29.解分式方程:+=1. 30.解方程:. 31.(2015• 河南)÷ (﹣), 32.先化简,再求值:÷, 33.先化简,再求值:(+)•,其中a=﹣. 34.先化简,再求值:÷﹣,其中m=﹣3. 35.(2015• 安顺)先化简,再求值:÷ (x﹣2+),其中x=﹣1. 36.先化简,再求值:÷ (a﹣),其中a=2,b=2. 37.先化简,再求值:•,其中a=5. 38.(2015• 齐齐哈尔) ÷ (+1) 39.(2015• 烟台)先化简:÷(﹣),再从﹣2<x<3 的范围内选取一个你最喜欢的值代入,求值. 40.(2015• 邵阳)先化简(﹣)•,再从0,1,2 中选一个合适的x的值代入求值. 41.先化简,再求值:(1+)÷,其中a=4. 42.(2015• 日照)(+1) 43.(2015• 资阳)...

1、当您付费下载文档后,您只拥有了使用权限,并不意味着购买了版权,文档只能用于自身使用,不得用于其他商业用途(如 [转卖]进行直接盈利或[编辑后售卖]进行间接盈利)。
2、本站所有内容均由合作方或网友上传,本站不对文档的完整性、权威性及其观点立场正确性做任何保证或承诺!文档内容仅供研究参考,付费前请自行鉴别。
3、如文档内容存在违规,或者侵犯商业秘密、侵犯著作权等,请点击“违规举报”。

碎片内容

分式计算题100

小辰4+ 关注
实名认证
内容提供者

出售各种资料和文档

相关文档

相关标签

确认删除?
VIP
微信客服
  • 扫码咨询
会员Q群
  • 会员专属群点击这里加入QQ群
客服邮箱
回到顶部