电脑桌面
添加小米粒文库到电脑桌面
安装后可以在桌面快捷访问

国标GB法兰标准规格VIP免费

国标GB法兰标准规格_第1页
1/8
国标GB法兰标准规格_第2页
2/8
国标GB法兰标准规格_第3页
3/8
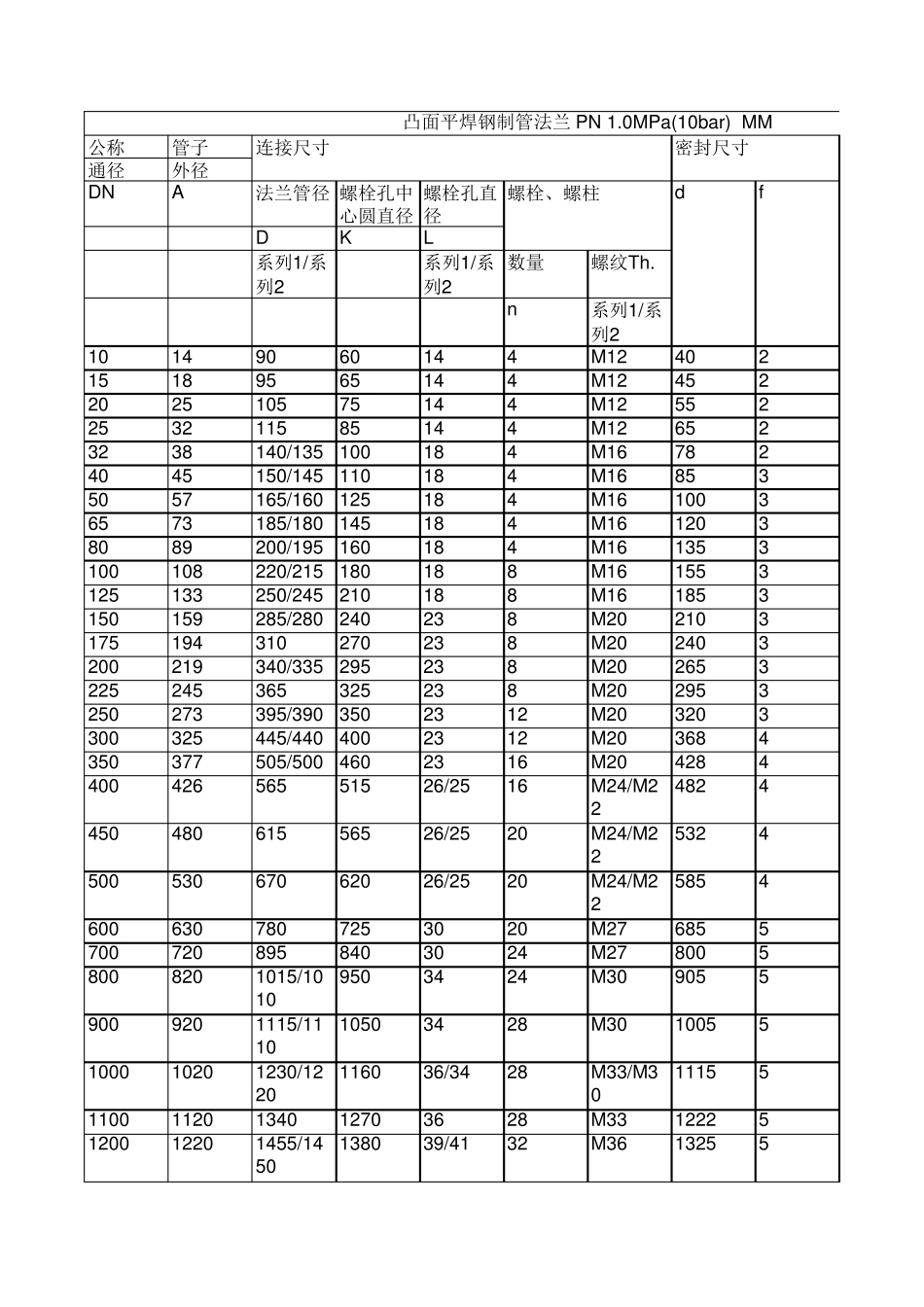
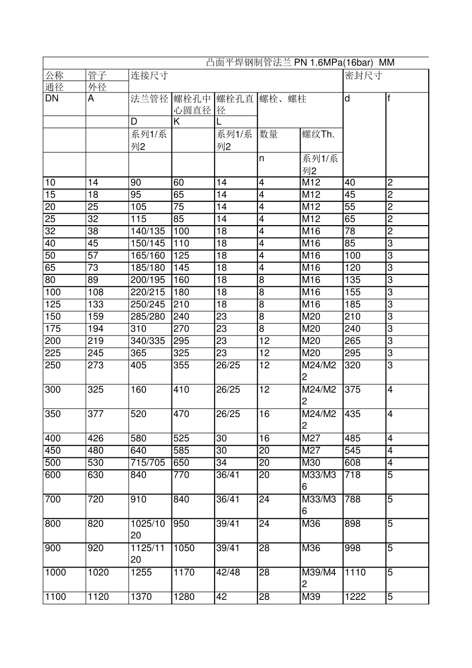
公称管子通径外径DNA法兰管径螺栓孔中心圆直径螺栓孔直径DKL系列1/系列2系列1/系列2数量螺纹Th.n系列1/系列210149060144M1240215189565144M12452202510575144M12552253211585144M126523238140/135100184M167824045150/145110184M168535057165/160125184M1610036573185/180145184M1612038089200/195160184M161353100108220/215180188M161553125133250/245210188M161853150159285/280240238M202103175194310270238M202403200219340/335295238M202653225245365325238M202953250273395/3903502312M203203300325445/4404002312M203684350377505/5004602316M20428440042656551526/2516M24/M22482445048061556526/2520M24/M22532450053067062026/2520M24/M2258546006307807253020M2768557007208958403024M2780058008201015/10109503424M3090559009201115/111010503428M3010055100010201230/1220116036/3428M33/M301115511001120134012703628M3312225120012201455/1450138039/4132M3613255连接尺寸密封尺寸螺栓、螺柱df凸面平焊钢制管法兰 PN 1.0MPa(10bar) MM公称管子通径外径DNA法兰管径螺栓孔中心圆直径螺栓孔直径DKL系列1/系列2系列1/系列2数量螺纹Th.n系列1/系列210149060144M1240215189565144M12452202510575144M12552253211585144M126523238140/135100184M167824045150/145110184M168535057165/160125184M1610036573185/180145184M1612038089200/195160188M161353100108220/215180188M161553125133250/245210188M161853150159285/280240238M202103175194310270238M202403200219340/3352952312M2026532252453653252312M20295325027340535526/2512M24/M22320330032516041026/2512M24/M22375435037752047026/2516M24/M2243544004265805253016M2748544504806405853020M275454500530715/7056503420M30608460063084077036/4120M33/M36718570072091084036/4124M33/M3678858008201025/102095039/4124M3689859009201125/1120105039/4128M369985100010201255117042/4828M39/M421110511001120137012804228M3912225螺栓、螺柱df凸面平焊钢制管法兰 PN 1.6MPa(16bar) MM连接尺寸密封尺寸120012201485139048/5432M45/M4813255公称管子通径外径DNA法兰管径螺栓孔中螺栓孔直径D心圆直径L系列1/系列2K系列1/系列2数量螺纹Th.n系列1/系列210149060144M1240215189565144M12452202510575144M12552253211585144M126523238140/135100184M167824045150/145110184M1685...

1、当您付费下载文档后,您只拥有了使用权限,并不意味着购买了版权,文档只能用于自身使用,不得用于其他商业用途(如 [转卖]进行直接盈利或[编辑后售卖]进行间接盈利)。
2、本站所有内容均由合作方或网友上传,本站不对文档的完整性、权威性及其观点立场正确性做任何保证或承诺!文档内容仅供研究参考,付费前请自行鉴别。
3、如文档内容存在违规,或者侵犯商业秘密、侵犯著作权等,请点击“违规举报”。

碎片内容

国标GB法兰标准规格

您可能关注的文档

确认删除?
VIP
微信客服
  • 扫码咨询
会员Q群
  • 会员专属群点击这里加入QQ群
客服邮箱
回到顶部