一汽零部件包装标准
责任厂家代码责任厂家零件上的编码厂家代码厂家简称厂家全称ERP供应商编码全称10598青岛恒盛LIB68青岛高科技工业园恒盛电器机械有限公司105...
一汽集团的CAE应用之旅 ■ 中国一汽集团公司技术中心 李康 CAE技术已经在一汽集团技术中心的产品开发中得到广泛应用,分析范围覆盖了结...
一:题型分类:共一百道 1.数字推理5 2.数学运算10 3.语句表达5 4.选词填空5 5.阅读理解20 6.事件排序5 7.图形推理10 8.演绎推理20...
中国第一汽车集团公司发展概况 中国第一汽车集团公司(原第一汽车制造厂)简称“第一汽车” ,1953年7月15日破土动工,中国汽车工业从这...
2008-2012 年一汽轿车财务状况分析 案例分析思路与方法 本案例主要采用比率分析的方法,并结合因素分析法和趋势分析法,从上市公司最核...
先进企业经验为我所用 一汽解放的精益化变革 今天,当您步入卡车厂生产现场,明亮、整洁、宽敞、有序、高效的环境氛围,让人难以相信这个...
常用件标识订货备件代码供应商代码供应商名称仓库代码否否 *S1601210-271BA00082一汽解放汽车有限公司BYWX否 *S1601310-215BA00082一汽解...
一汽解放卡车服务站目录
如你需要其他车型图册资料或相关配件联系QQ1518106234LFNAFRJM8DAC30292 60148221 Q01AN52161CD206AE CA1169PK2L2E4A80 车型系列 龙V...
1 一汽的精益生产与准时生产 一、概述 第一汽车集团公司是我国第一个生产汽车的企业。80年代中期一汽曾一度因设备老化,产品、资金断...
一、编制说明与依据 1、编制说明: 根据一汽轿车股份有限公司、吉林省建设工程招标有限公司于2004 年2 月21 日发送我集团公司的有关一...
2013 年度零部件质量目标及考核规定 各零部件供应商: 根据一汽海马经营发展要求,结合2012 年零部件质量目标的达成情况及相关管理要求...
一汽森雅R7新功能快速阅读手册
一汽宝来 BORA轿车 01M型自动变速器 数据流分析 1、读取测量数据块的步骤 a.在故障阅读仪显示屏显示“选择功能××”的状态下,按0和8...
CAN-BU S 汽车多路信息传输系统及其检修技术——李东江 1 一汽宝来(BORA)轿车 CAN数据总线系统的故障自诊断 1999 年5 月以后生产...
汽车检测与维修技术专业系列课程 《汽油发动机管理系统故障诊断与修理》—维修资料 一汽奥迪 A6轿车电气元器件 位置与电气线路图 第一...
零件名称精友零件编原厂零件编号前保险杠皮1100 L8KD 807 105 GRU前保险杠皮1100 L8KD 807 105 A GRU前保险杠皮1100 L8KD 807 ...
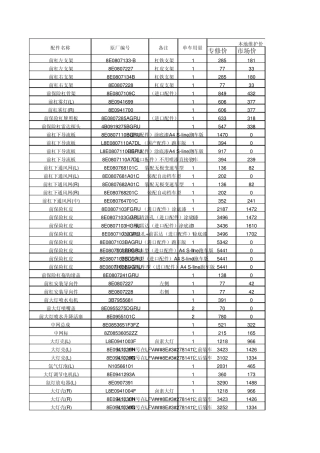
专修价市场价前杠左支架 8E0807133C 1 298 153 前杠右支架 8E0807134C 1 298 153 前保险杠骨架 8E0807109J 1 1605 851 前杠...
专修价市场价 前杠左支架 8E0807133-B 杠铁支架 1 285 181 前杠左支架 8E0807227 杠皮支架 1 77 33 前杠右支架 8E0807134B ...

