下载后可任意编辑湖南省农村劳动力技能培训工作协议书甲方: 乙方: 签订地点: 签订时间: 合同编号: 下载后可任意编辑湖南省农村劳...
下载后可任意编辑湖南省农村劳动力技能培训工作协议甲方: 乙方: 签订地点: 签订时间: 合同编号: 下载后可任意编辑湖南省农村劳动...
下载后可任意编辑施工机械设备劳动力投入计划 施工机械设备劳动力投入计划 1.1 劳动力投入计划 1.1.1 对工人素养的控制措施 1、我们...
下载后可任意编辑我国农村劳动力素养偏低【关于农村劳动力素养现状的调查与思考】 关于农村劳动力素养现状的调查与思考 党的十六大提出了...
有关我国劳动力流动问题的分析 一、劳动力流动的概念和类型 在市场经济中,劳动力作为商品,同其他商品一样具有流动性。劳动力流动从本质...
XX 县区农村劳动力转移就业情况总结 5 篇 XX 县区农村劳动力转移就业情况总结 XX 县区是农村劳动力转移大县,近两年农村劳动力转移2...
云南省贫困地区劳动力转移培训项目绩效评价指标体系一、制定绩效评价指标体系的原则(一)相关性原则。 选定的绩效评价指标与其所做的工作...
下载后可任意编辑农村劳动力转移就业工作调研报告 农村劳动力转移就业工作调研报告 33 篇 农村劳动力转移就业工作调研报告 1 农村劳...
下载后可任意编辑农村劳动力转移培训阳光工程协议样书甲方: 乙方: 签订地点: 签订时间: 合同编号: 下载后可任意编辑农村劳动力转...
下载后可任意编辑农村劳动力转移培训阳光工程协议甲方: 乙方: 签订地点: 签订时间: 合同编号: 下载后可任意编辑农村劳动力转移培...
劳动力机械设备和材料投入计划文件管理序列号:[K8UY-K9IO69-O6M243-OL889-F88688]1第一节劳动力投入计划一、劳动力素质要求及组织施工劳务...
5.施工进度计划、劳动力、主要施工设备配置 5 .1 施工进度计划 5 .1 .1 施工主要节点控制 本工程总工期:517 天。包括二次精装修...
工程项目劳动力安排及主要施工机具使用计划 一、劳动力安排及进出场计划 项目建设过程中,劳动力计划按各个施工阶段分别部署。劳动力组成...
工程项目劳动力安排及主要施工机具使用计划 一、劳动力安排及进出场计划 项目建设过程中,劳动力计划按各个施工阶段分别部署。劳动力组成...
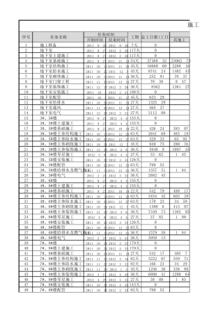
开始时间结束时间其他工1施工准备2011-9-20 2011-9-26 7天02地下室2011-9-27 2012-2-26 117天 03地下室土建施工2011-9-27 2012-2-26...
施工劳动力计划 1 、劳动力计划 1 .1 、劳动力投入原则及其组织要求 1、劳动力投入原则 施工劳动力是工程施工的直接操作者,也是工...
施 工 劳 动 力 来 源 及 进 场 计 划 一 、 劳 动 力 安 排 合 理 安 排 人 员 、 把 工 作 落 实 到 每...
弱电系统施工组织设计 --项目组织机构及劳动力计划安排 目 录 1 项目组织机构及劳动力安排计划 ......................................
下载后可任意编辑校地合作农村劳动力职业技能培训协议书甲方:***区***镇(区、街道)人力资源社会保障服务中心乙方:****学院为服务地方经...
下载后可任意编辑加强就业培训提高就业与创业能力培训协议书甲方:乙方:为提高进城务工人员、城镇新成长劳动力技能培训的数量和质量,充分...

