VBA 入门系列讲座 1.1 VBA 是什么 直到 90 年代早期,使应用程序自动化还是充满挑战性的领域.对每个需要自动化的应用程序,人们不得不...
210-211页5—77—1111—2525—50净能(kcal/kg)2448244824122475有效消化能(kcal/kg)3542354234903402有效代谢能(kcal/kg)34003400335033...
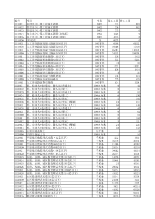
序号定额编号名称单位1YT1-1 人工挖土方 普土 深1.5m以内100m32YT1-2 人工挖土方 坚土 深1.5m以内100m33YT1-3人工挖土方 普土 深2m...
工作内容子目节编号项目名称工作内容水电建筑工程预算定额(2004)1土方工程1-1人工挖运土挖松、就地堆放;挖、装、运、卸、空回。1-2人工挖...
日期开盘收盘最低最高 成交量(手)成交额(万)90-12-19 9 6 .11 0 0 .096100134990-12-201 0 4 .31 0 4 .41001042890-12-211 0...
办公自动化之— — 60 个word 使用小技巧+ 160 个Excel 使用技巧集锦 1、 Word 表格自动填充 在 Word 表格里选中要填入相同内...
编号项目单位技工工日普工工日TXL1-001直埋光(电)缆工程施工测量100m0.70.3TXL1-002架空光(电)缆工程施工测量100m0.60.2TXL1-003管道光(电)...
下载后可任意编辑部门工作计划表与部门工作计划表 Excel 汇编部门工作计划表,周工作计划表格填写人: 填表日期: 年 月 日1、使用流...
下载后可任意编辑部门工作计划书与部门工作计划表 Excel 汇编部门工作计划书一、熟悉工作环境1、 熟悉楼层主管的工作职责,楼层主管日常...
下载后可任意编辑部门季度工作计划表与部门工作计划表 Excel 汇编部门季度工作计划表部门 第一负责人考核者 考核期关键职责 当期应对...
OraE-BORAExc Author: MSN: CreationLast UpDocumeVersion Approv
排名厂商型号前端总线(MHz)二级+三级缓存主频(MHz)1Intel Core i7940XM25001MB+8MB2130-33332Intel Core i7920XM25001MB+8MB2000-32003...
序项 目 名 称单 位数 量单 价合计工艺做法及材料说明一1石 膏 板 墙 拆 除平 米14040在 拆 除 部 位 画 线 , 切 割...
公式是单个或多个函数的结合运用。 AND “与”运算,返回逻辑值,仅当有参数的结果均为逻辑“真(TRUE)”时返回逻辑“真(TRUE)”,反...
工程项目费用自动计算表格Excel文档
序号定额编号分项工程名称单位数量#NAME?#NAME?#NAME?#NAME?工程量计算工程名称:编制单位:益阳市五环建筑工程有限公司编制人:第1页 共1...
序号定额编号定额名称单位1TSY1-094安装墙挂/嵌墙式综合机箱个2TSY1-095安装入户式综合信息(网络机箱)个3TSY1-096安装落地式室外综合机柜...
工 作 中 最 常 用 的 Excel 函 数 公 式 大 全 , 帮 你 整 理 齐 了 , 拿 来即 用 一 、数 字处理 1、取绝...
在早期版本的 Excel 中不受支持的 Office Excel 2007 功能 1 、工作表问题 下列工作表问题导致显著功能损失: 问题 解决方案 ...
[原创]在VC 中彻底玩转Ex cel 如今Ex cel 是越来越重要了,在我们自己开发的程序中不免要和Ex cel 打交道了。利用Au tomation 技...

