1企业网上年报操作步骤1、网上年报系统网址:在百度搜索“全国企业信用信息公示系统”(网址:http://gsxt.saic.gov.cn/)显示如下链接:点...
第1页共5页编号:时间:2021年x月x日书山有路勤为径,学海无涯苦作舟页码:第1页共5页福田汽车(600166)年报分析:扩张战略向效益型转变...
科技统计年报培训资料汇编(20一三)华中科技大学管理学院科技统计信息中心二〇一三年十月目录第一部分科学技术活动的分类...................
第1页共80页编号:时间:2021年x月x日书山有路勤为径,学海无涯苦作舟页码:第1页共80页股票代码公司简称首次预约日期第一次变更日期第二次...
第1页共53页编号:时间:2021年x月x日书山有路勤为径,学海无涯苦作舟页码:第1页共53页股票代码公司简称首次预约日期第一次变更日期第二次...
科技统计年报培训资料汇编(20一三)华中科技大学管理学院科技统计信息中心二〇一三年十月目录第一部分科学技术活动的分类...................
劳动工资年报填报说明一、单位名称、组织机构代码、国民经济行业等内容必须填全、填准;二、《企业人工成本情况》表各镇所有生产经营正常的...
创业板2011年年报披露时间表更新时间:2011-12-31公司代码上市公司简称首次预约日一次变更日二次变更日三次变更日实际披露日300001特锐德20...
创业板2011年年报披露时间表更新时间:2011-12-31公司代码上市公司简称首次预约日一次变更日二次变更日三次变更日实际披露日特锐德2012-4-1...
第1页共30页编号:时间:2021年x月x日书山有路勤为径,学海无涯苦作舟页码:第1页共30页沪市上市公司年报披露时间公司代码上市公司简称报告...
第1页共45页编号:时间:2021年x月x日书山有路勤为径,学海无涯苦作舟页码:第1页共45页公司代码上市公司简称首次预约日600000浦发银行2011...
第1页共66页编号:时间:2021年x月x日书山有路勤为径,学海无涯苦作舟页码:第1页共66页公司代码公司简称首次预约日一次变更日二次变更日实...
第1页共54页编号:时间:2021年x月x日书山有路勤为径,学海无涯苦作舟页码:第1页共54页公司代码上市公司简称报告类型报告年度首次预约日一...
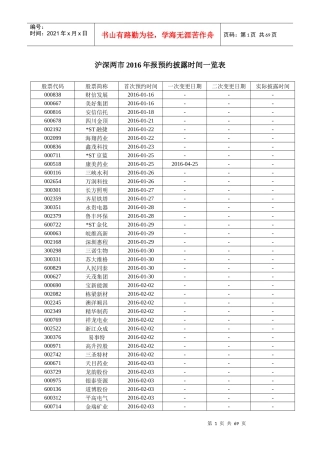
第1页共69页编号:时间:2021年x月x日书山有路勤为径,学海无涯苦作舟页码:第1页共69页沪深两市2016年报预约披露时间一览表股票代码股票简...
统计年报会议总结讲话统计年报会议总结讲话(一):同志们:刚才,杨局长对全县20xx年的统计工作做了全面安排,并对20xx年的定期报表工作进...
十大上市公司年报审计风险提示风险导向审计下,防范企业年报审计风险至关重要,本文总结了2013-2014年度,中国注册会计师协会发布的上市公...
平成19年度計量行政年報石川県計量検定所まえがき計量制度は、経済活動や社会生活を営むうえでの基本的な制度の一つであり統一的で合理的...
中国残疾人事业统计年报报表制度2008年度中国残疾人联合会填报单位(公章)主管理事长(签章)填报人(签章)报出日期年月日编制说明一、为...
第1页共12页编号:时间:2021年x月x日书山有路勤为径,学海无涯苦作舟页码:第1页共12页2009年第六届浙江省大学生财会信息化竞赛试题本科组...
重庆长安汽车股份有限公司(000625)2006-2015年年报分析大连理工大学管理与经济学部姓名:符亮班级:管工1302班学号:201303035目录1.前言...

